Fig. 2.

Download original image
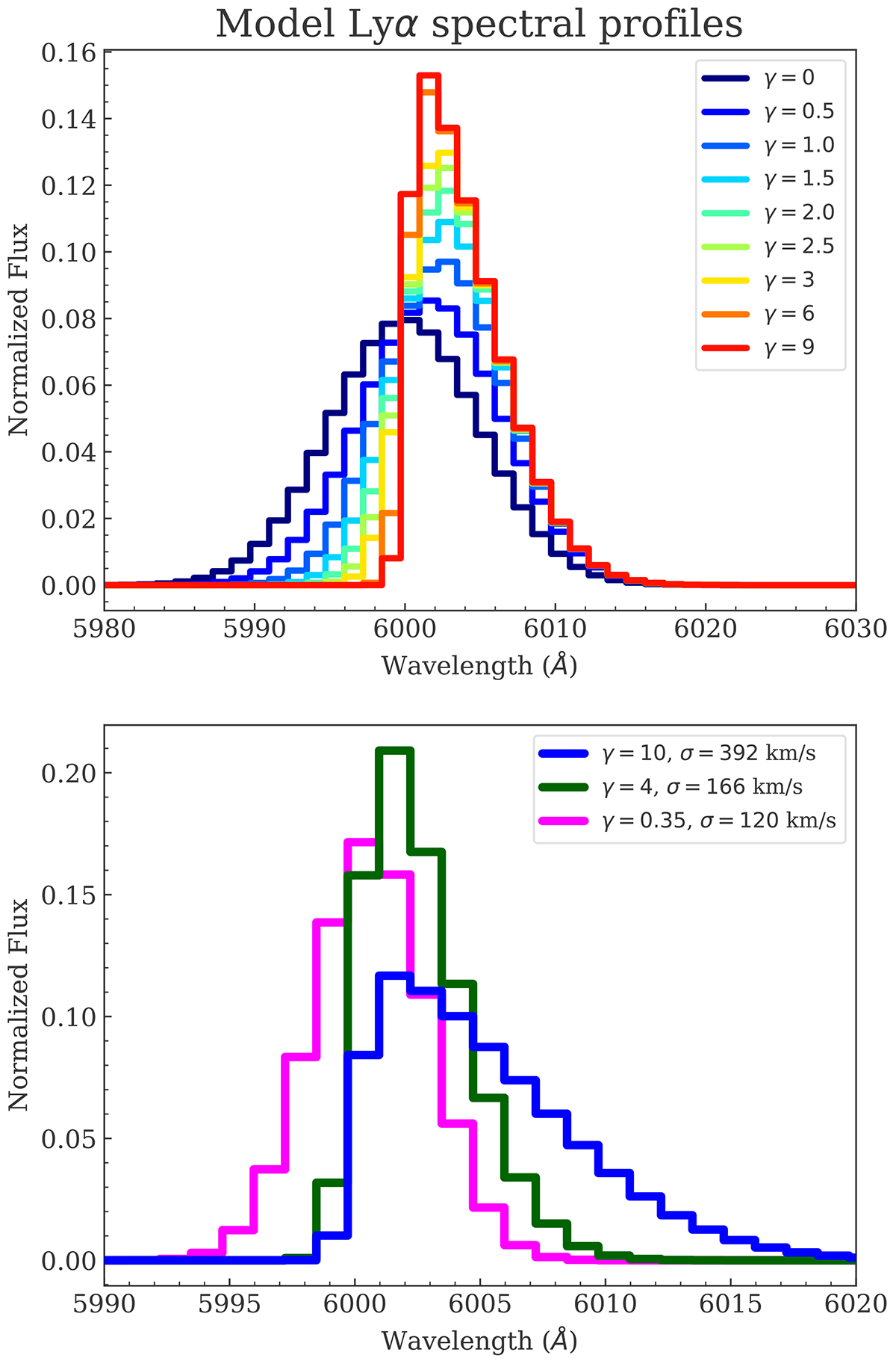
Top: Example model Lyα profiles at the arbitrary and fixed line center λ0 = 6000 Å, with a normalized total line flux and a constant line width σ = 250 km/s. Each color shows a profile with a different skewness factor, γ. The models are resampled to the spectral resolution of VLT/MUSE. Bottom: Three normalized Lyα line profiles determined using the best-fit values of σ and γ for real observed galaxies from B23, demonstrating some of the variety of shapes of observed Lyα spectral profiles.
Current usage metrics show cumulative count of Article Views (full-text article views including HTML views, PDF and ePub downloads, according to the available data) and Abstracts Views on Vision4Press platform.
Data correspond to usage on the plateform after 2015. The current usage metrics is available 48-96 hours after online publication and is updated daily on week days.
Initial download of the metrics may take a while.