Fig. 2.

Download original image
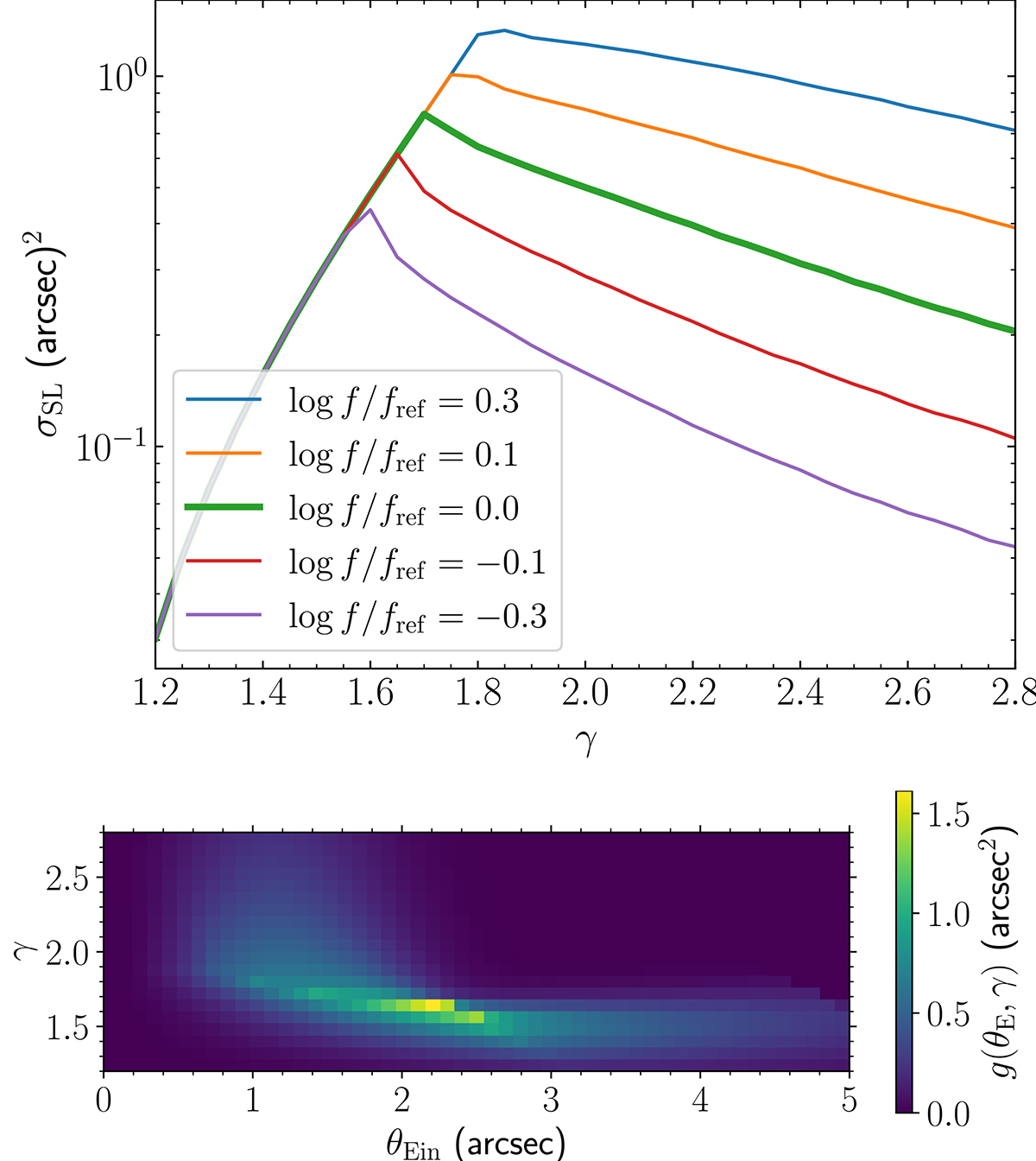
Strong lensing cross-section of a circular power-law lens and a point source. A lensing event is defined as the detection of an emission line within an aperture of 1.5″, and of at least two images in photometric data. Top: σSL of a lens with θE = 1.2″ as a function of the slope γ. The thick green line corresponds to a source with intrinsic emission line flux equal to one third of the flux required for a spectroscopic detection, and a broadband flux equal to that needed for a photometric detection. Different lines were obtained by rescaling both the emission line and broadband flux by the amount indicated in the legend. Bottom: geometric factor of the lensing cross-section, that is the value of σSL for the reference source (corresponding to the green line in the top panel), as a function of both θE and γ.
Current usage metrics show cumulative count of Article Views (full-text article views including HTML views, PDF and ePub downloads, according to the available data) and Abstracts Views on Vision4Press platform.
Data correspond to usage on the plateform after 2015. The current usage metrics is available 48-96 hours after online publication and is updated daily on week days.
Initial download of the metrics may take a while.