Fig. 9.

Download original image
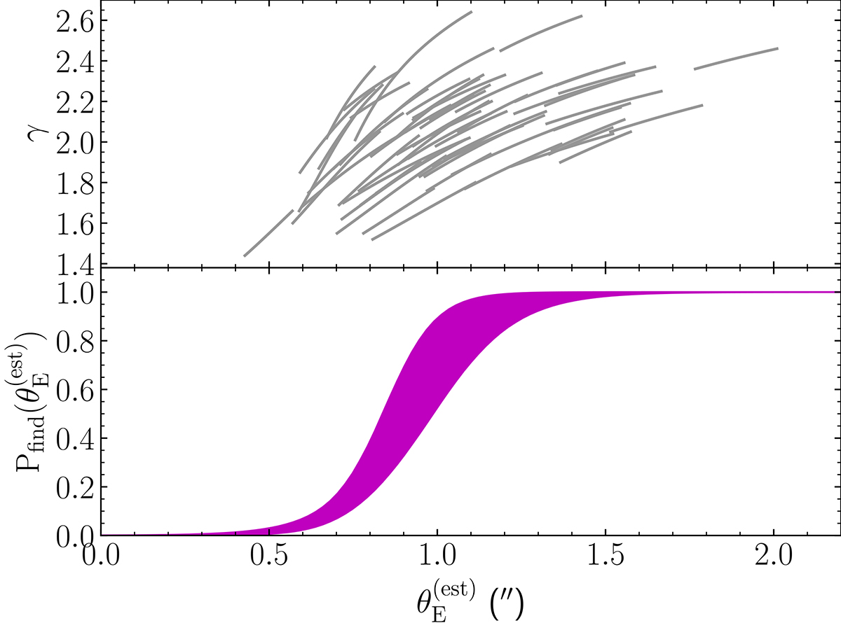
Estimated Einstein radius, density slope and lens finding probability. Top: 68% probable values of and density slope γ of the SLACS lenses, where
is defined in Equation (2). Bottom: 68% credible region of the lens finding probability, defined in Equation (35). The correlation between
and γ makes so that lenses with overestimated γ are more likely to be included in the sample.
Current usage metrics show cumulative count of Article Views (full-text article views including HTML views, PDF and ePub downloads, according to the available data) and Abstracts Views on Vision4Press platform.
Data correspond to usage on the plateform after 2015. The current usage metrics is available 48-96 hours after online publication and is updated daily on week days.
Initial download of the metrics may take a while.