Open Access
Fig. 12

Download original image
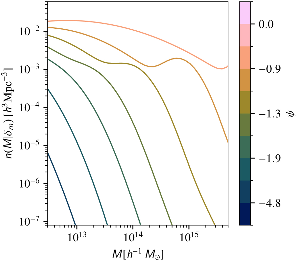
Predicted conditional halo mass functions from PineTree for different values (indicated by the colour bar) of the feature map, ψ. The scalar is, as is described in Sect. 3.1.1, the output of the symmetric convolutional layer.
Current usage metrics show cumulative count of Article Views (full-text article views including HTML views, PDF and ePub downloads, according to the available data) and Abstracts Views on Vision4Press platform.
Data correspond to usage on the plateform after 2015. The current usage metrics is available 48-96 hours after online publication and is updated daily on week days.
Initial download of the metrics may take a while.