Fig. 6.

Download original image
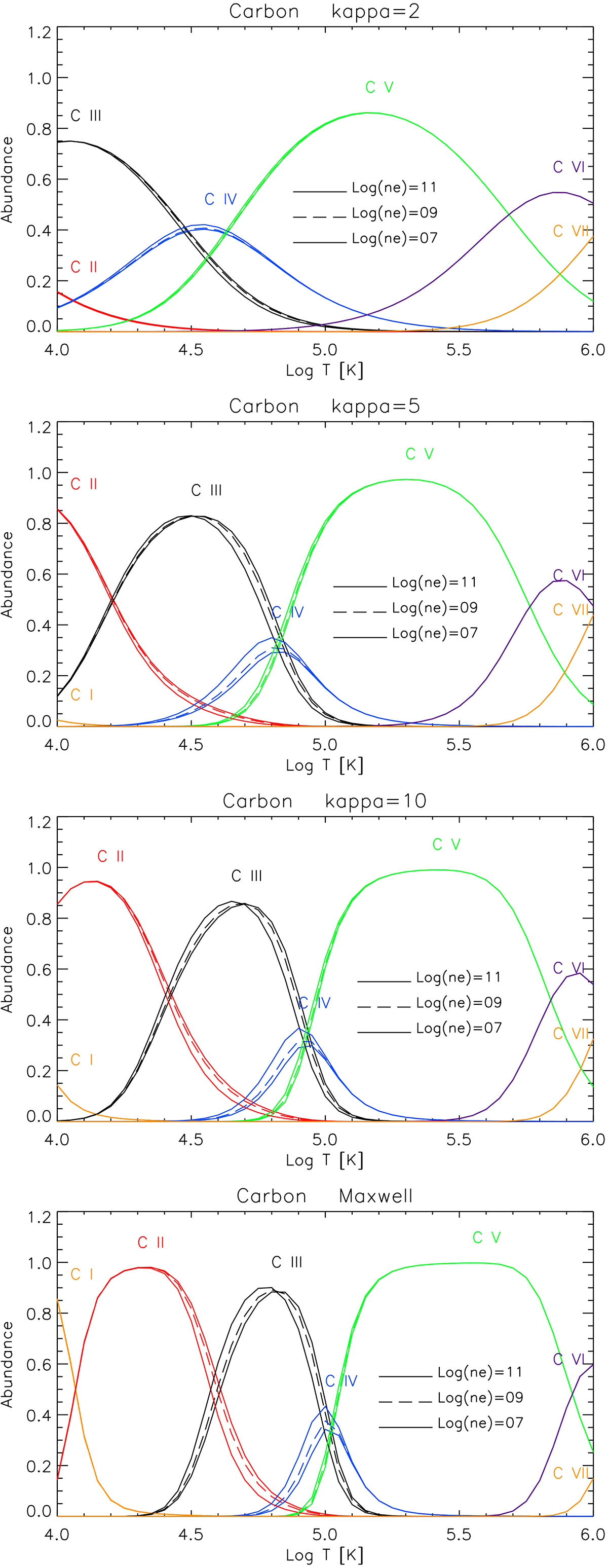
Carbon ionization equilibria including only ionization and recombination from/to excited levels, i.e., without DR suppression or photoionization, calculated for Log(ne/cm−3) = 7 (full lines), 9 (dashed lines), and 11 (dot-dashed lines), and for kappa distributions with κ = 2, 5, 10, and Maxwellian distribution. The different colours correspond to different ions.
Current usage metrics show cumulative count of Article Views (full-text article views including HTML views, PDF and ePub downloads, according to the available data) and Abstracts Views on Vision4Press platform.
Data correspond to usage on the plateform after 2015. The current usage metrics is available 48-96 hours after online publication and is updated daily on week days.
Initial download of the metrics may take a while.