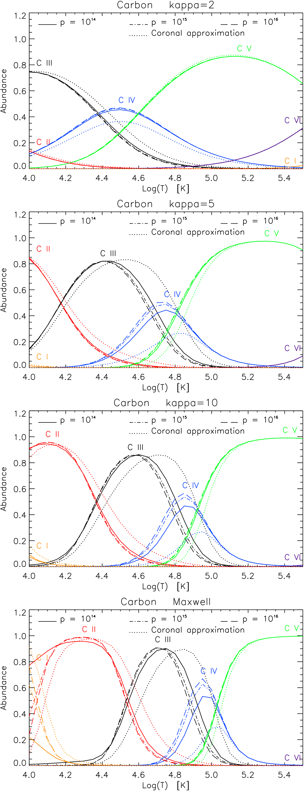
Fig. 8.

Download original image
Carbon ionization equilibria with ionization and recombination from density-dependent metastable states, DR suppression and photoionization for quiet Sun at constant pressures p = 1014(full lines), 1015 (dot-dashed), and 1016 K cm−3 (dashed) shown for κ = 2, 5, 10, and Maxwellian distributions. The thin dotted lines correspond to the ionization equilibrium using the coronal approximation, that is, without level-resolved ionization, recombination, DR suppression, and photoionization.
Current usage metrics show cumulative count of Article Views (full-text article views including HTML views, PDF and ePub downloads, according to the available data) and Abstracts Views on Vision4Press platform.
Data correspond to usage on the plateform after 2015. The current usage metrics is available 48-96 hours after online publication and is updated daily on week days.
Initial download of the metrics may take a while.