Open Access

Fig. 2

image

Download original image

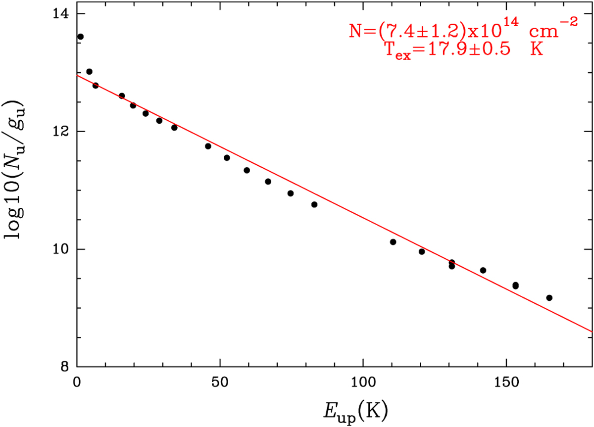
Rotational diagram for all the transitions shown in Fig. 1 and listed in Table 1 (except for 28–27, 29–28, and 30–29). The solid red line represents a linear regression fit of the points, and the final N and Tex are shown in the upper right corner.

Current usage metrics show cumulative count of Article Views (full-text article views including HTML views, PDF and ePub downloads, according to the available data) and Abstracts Views on Vision4Press platform.

Data correspond to usage on the plateform after 2015. The current usage metrics is available 48-96 hours after online publication and is updated daily on week days.

Initial download of the metrics may take a while.