Fig. A.4

Download original image
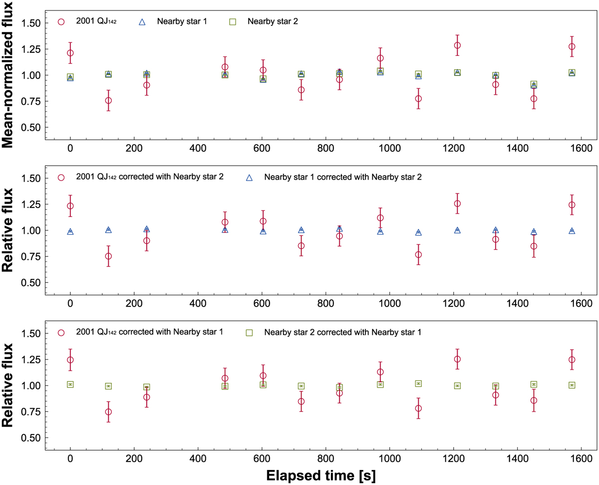
Light curves of 2001 QJ142 and two nearby stars. Top: Fluxes of 2001 QJ142 and two nearby stars. Measured fluxes are normalized by the mean such that the averages are unity. Bars indicate the 1σ uncertainties. Uncertainties of two nearby stars are hard to see due to scale effects. Middle: Light curves of 2001 QJ142 and nearby star 1 corrected using nearby star 2. Relative fluxes of 2001 QJ142 and nearby star 1 are presented as circles and triangles, respectively. Bars indicate the 1σ uncertainties. Bottom: Light curves of 2001 QJ142 and nearby star 2 corrected using nearby star 1. Relative fluxes of 2001 QJ142 and nearby star 2 are presented as circles and squares, respectively. Bars indicate the 1σ uncertainties.
Current usage metrics show cumulative count of Article Views (full-text article views including HTML views, PDF and ePub downloads, according to the available data) and Abstracts Views on Vision4Press platform.
Data correspond to usage on the plateform after 2015. The current usage metrics is available 48-96 hours after online publication and is updated daily on week days.
Initial download of the metrics may take a while.