Fig. 4.

Download original image
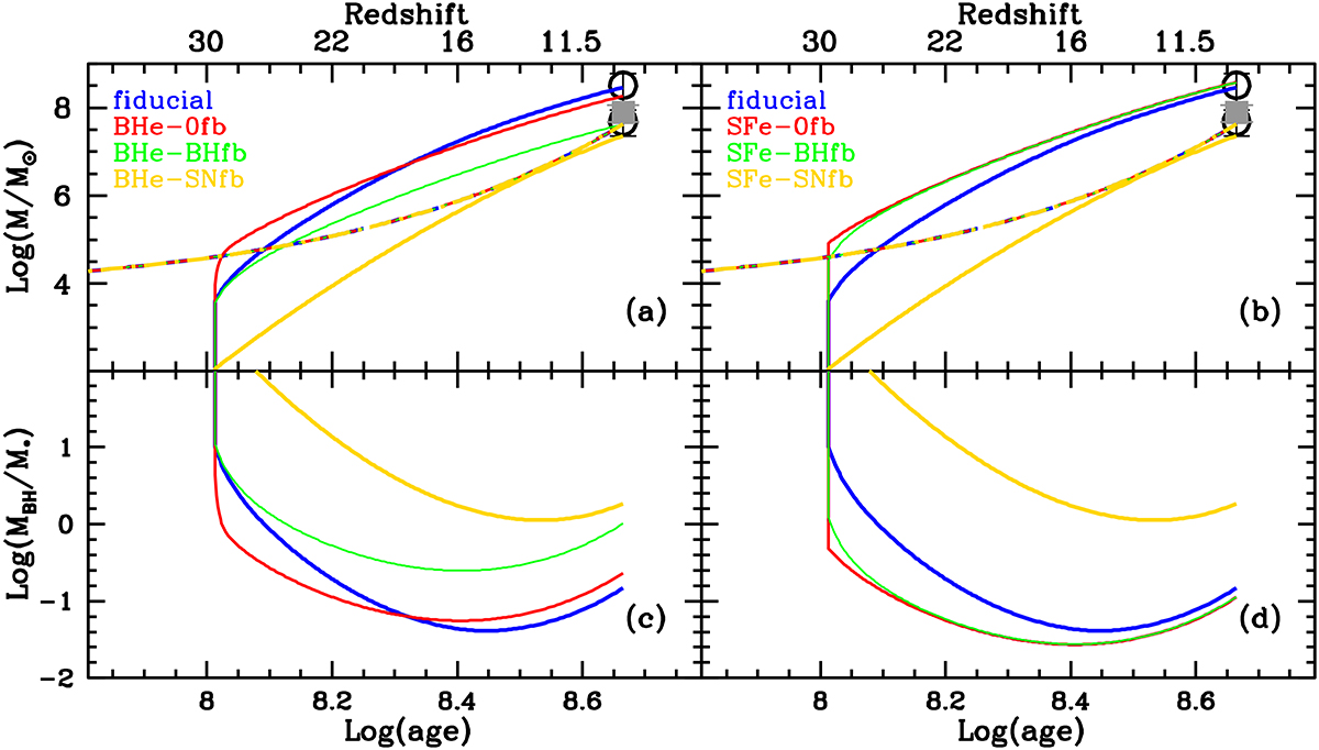
Assembly of GHZ9 with primordial black holes acting as the seeds of structure formation. In the top row (panels a and b), we show the assembly of the stellar mass (solid lines) and black hole mass (dashed lines) for three different models exploring the parameter space (see Table 2). The bottom row (panels c and d) shows the ratios of black hole to stellar mass for each model. While the left panel shows results for different feedback models in the case where black hole accretion is more efficient (BHe-) than star formation, the right panel shows results for the cases where star formation is allowed to be more efficient (SFe). The second part of the label in each panel shows the key feedback source. 0fb stands for no feedback, BHfb for feedback from black holes alone, and SNfb for SNII feedback alone.
Current usage metrics show cumulative count of Article Views (full-text article views including HTML views, PDF and ePub downloads, according to the available data) and Abstracts Views on Vision4Press platform.
Data correspond to usage on the plateform after 2015. The current usage metrics is available 48-96 hours after online publication and is updated daily on week days.
Initial download of the metrics may take a while.