Open Access

Fig. 2

image

Download original image

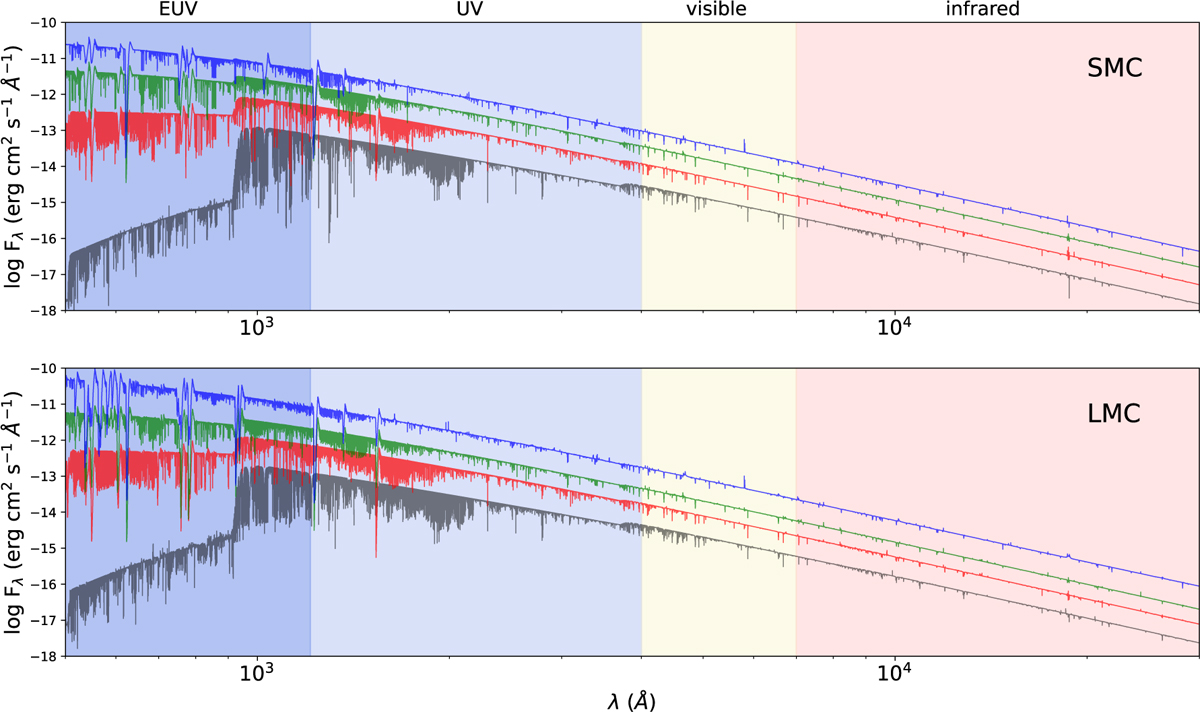
Illustrative spectra from our grid of models representing LMC and SMC OB stars. The displayed wavelength range spans from 500 Å to 30 000 Å. All models have a fixed log g = 4.0 and Teff = 25, 35, 45 and 55 kK (bottom to top). Roughly, they correspond to an early B star, late, mid and early O star, respectively. Background colors correspond to different wavelength ranges as indicated by the top labels.

Current usage metrics show cumulative count of Article Views (full-text article views including HTML views, PDF and ePub downloads, according to the available data) and Abstracts Views on Vision4Press platform.

Data correspond to usage on the plateform after 2015. The current usage metrics is available 48-96 hours after online publication and is updated daily on week days.

Initial download of the metrics may take a while.