Open Access

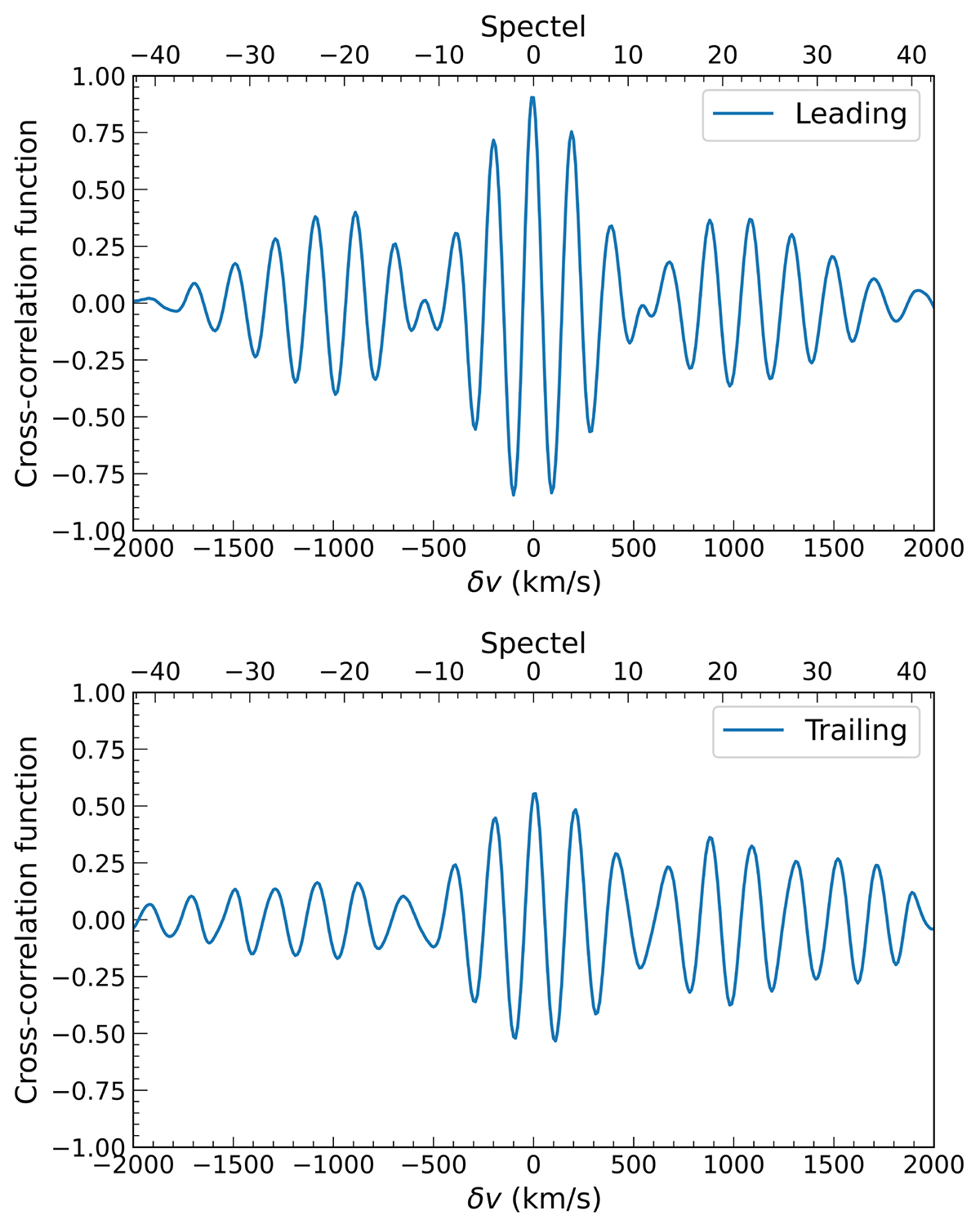
Fig. C.1.

image

Download original image

Cross-correlation functions (CCFs). Top: from averaged data at latitudes > 45°N on the leading hemisphere. Bottom: from averaged data at latitudes 30–60°S on the trailing hemisphere. The forward model for computing the cross-correlation is a fluorescence CO2 spectrum. In both cases the CCF peaks at δv = 0, indicating CO2 exosphere detection. The maximum of the CCF is lower for the trailing side due to a fainter CO2 signal.

Current usage metrics show cumulative count of Article Views (full-text article views including HTML views, PDF and ePub downloads, according to the available data) and Abstracts Views on Vision4Press platform.

Data correspond to usage on the plateform after 2015. The current usage metrics is available 48-96 hours after online publication and is updated daily on week days.

Initial download of the metrics may take a while.