Fig. 6.

Download original image
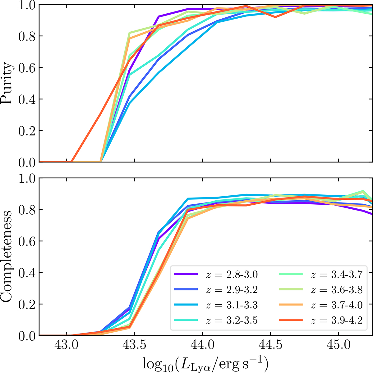
One-dimensional purity and completeness of our sample as a function of measured LLyα. We show the values in the bins of redshift used to estimate the Lyα and UV LFs (see Sect. 3.4). These curves were estimated by applying the selection method to the mocks, in bins of measured Lyα luminosity. The purity of the sample increases with LLyα, reaching values of ∼1 for the high end at all redshifts. The completeness, on the other hand, increases monotonically with LLyα, reaching maximum values of ≈85% at LLyα ≈ 1044 erg s−1 at all redshifts.
Current usage metrics show cumulative count of Article Views (full-text article views including HTML views, PDF and ePub downloads, according to the available data) and Abstracts Views on Vision4Press platform.
Data correspond to usage on the plateform after 2015. The current usage metrics is available 48-96 hours after online publication and is updated daily on week days.
Initial download of the metrics may take a while.