Fig. 3

Download original image
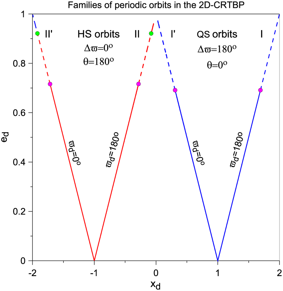
Families of QS and HS orbits in the 2D-CRTBP presented on the (xd, ed) plane, where xd is the position of the periodic orbit (dust particle) in the rotating frame of reference for µ = 2.1186 × 10−11. Families denoted by I correspond to family ƒ, which consists of QS orbits, namely stable (blue) symmetric periodic orbits with ∆ϖ = 180°, and II denotes the family of HS orbits, i.e. unstable (red) symmetric periodic orbits with ∆ϖ = 0°. Primed (or unprimed) symbols indicate the direction (positive or negative crossing) of the orbit on the Poincaré surface of section at yd = 0 and (or
), since the two branches of each family are equivalent (see also Table 1). The magenta and green dots correspond to the vcos, and the solid (dashed) lines demonstrate the vertical stability (instability).
Current usage metrics show cumulative count of Article Views (full-text article views including HTML views, PDF and ePub downloads, according to the available data) and Abstracts Views on Vision4Press platform.
Data correspond to usage on the plateform after 2015. The current usage metrics is available 48-96 hours after online publication and is updated daily on week days.
Initial download of the metrics may take a while.