Open Access
Fig. 4

Download original image
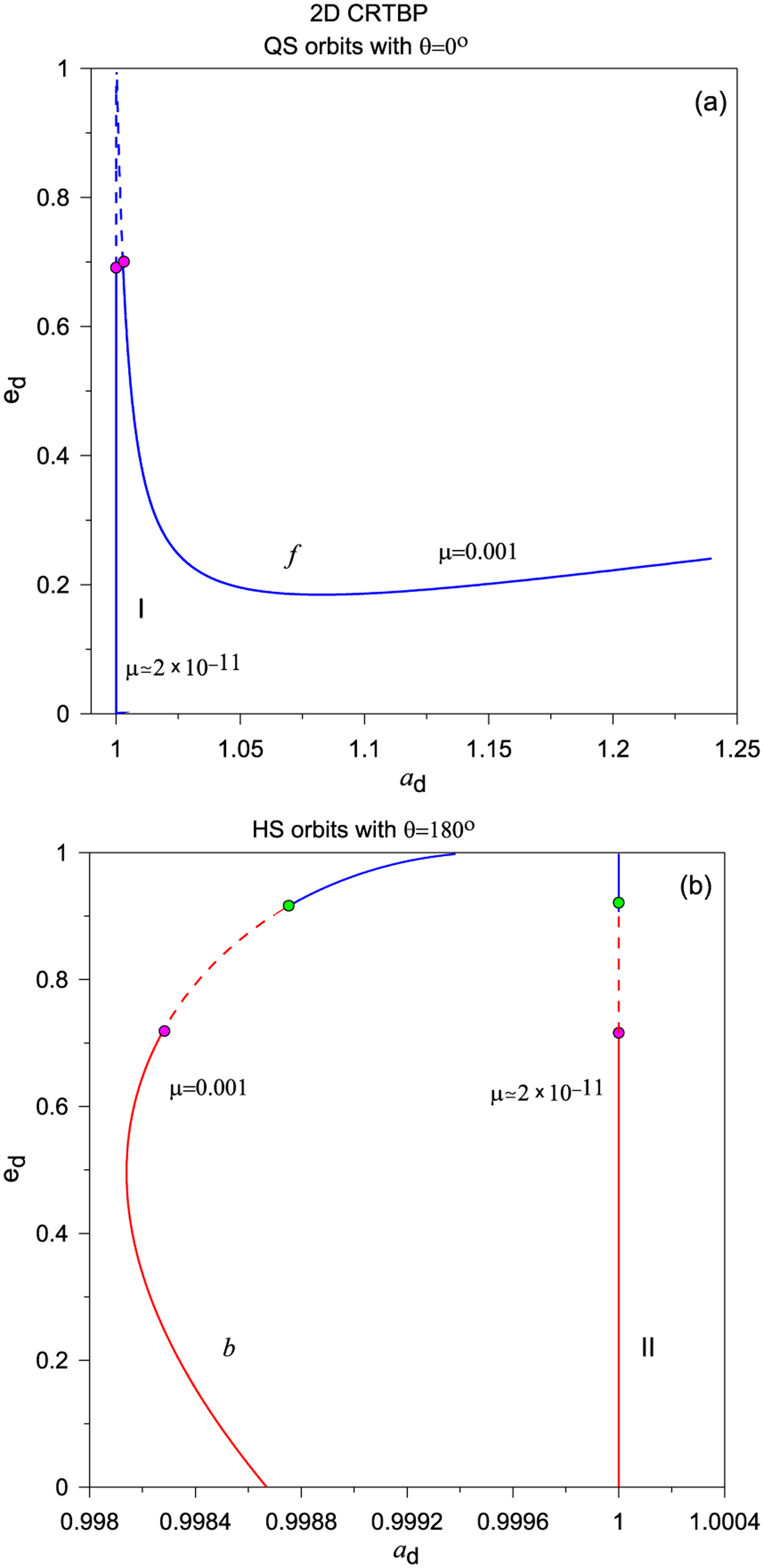
Families I of QS orbits (panel a) and II of HS orbits (panel b) on the (ad, ed) plane for our model (µ = 2.1186 × 10−11 presented in Fig. 3), together with a comparison with µ = 0.001 and families f and b to highlight the proximity of this model to the unperturbed case.
Current usage metrics show cumulative count of Article Views (full-text article views including HTML views, PDF and ePub downloads, according to the available data) and Abstracts Views on Vision4Press platform.
Data correspond to usage on the plateform after 2015. The current usage metrics is available 48-96 hours after online publication and is updated daily on week days.
Initial download of the metrics may take a while.