Fig. 1.

Download original image
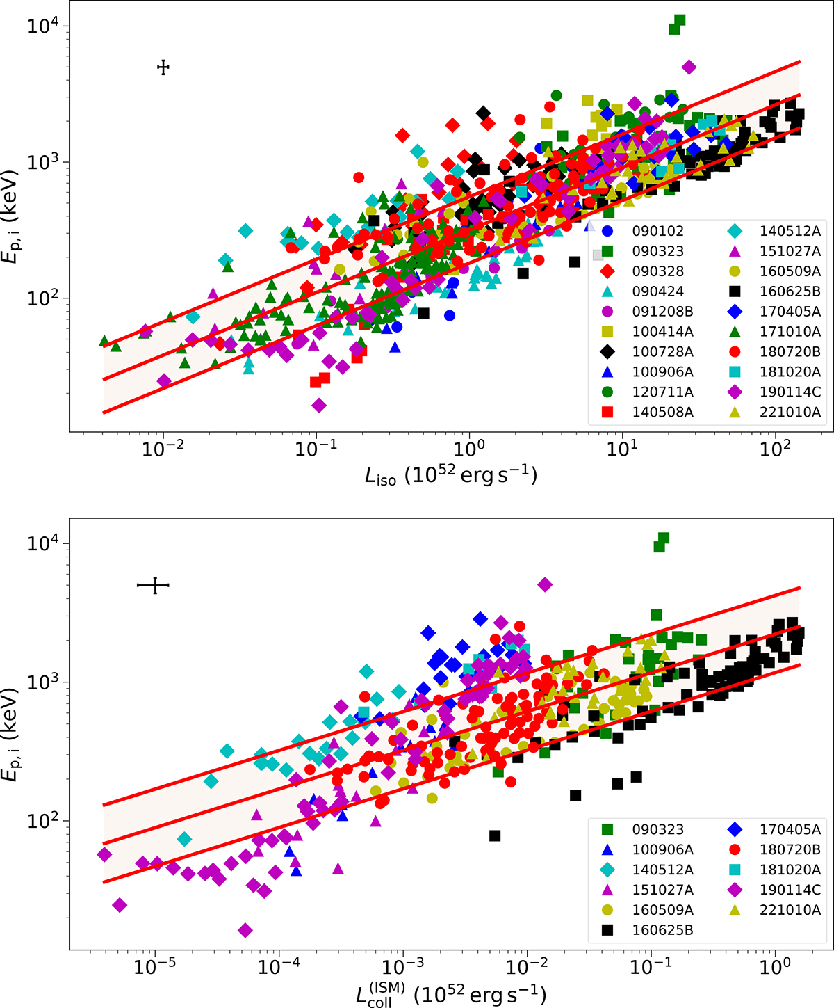
Top panel: Time-resolved Ep, i–Liso relation for the overall sample 𝒮. Bottom panel: Collimation-corrected Ep, i–Lcoll relation for the subset 𝒮(ISM) of GRBs with available information on . In both panels the best-fit model along with the 1-σint, t region (shaded area) is shown, while median uncertainties along both axes are shown in the top left.
Current usage metrics show cumulative count of Article Views (full-text article views including HTML views, PDF and ePub downloads, according to the available data) and Abstracts Views on Vision4Press platform.
Data correspond to usage on the plateform after 2015. The current usage metrics is available 48-96 hours after online publication and is updated daily on week days.
Initial download of the metrics may take a while.