Fig. 6

Download original image
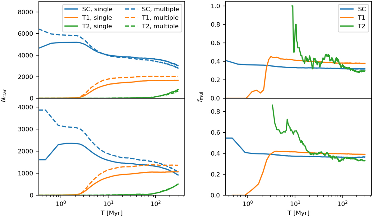
Numbers of single stars and stars in multiple systems for the SC, T1, and T2 (left). The fraction of multiple systems over the total number of systems (counting single stars as systems), fmul (Eq. (10)), computed from these numbers can be seen on the right. The top panels show the main model, while the bottom panels are for the five M2 models (Table 1).
Current usage metrics show cumulative count of Article Views (full-text article views including HTML views, PDF and ePub downloads, according to the available data) and Abstracts Views on Vision4Press platform.
Data correspond to usage on the plateform after 2015. The current usage metrics is available 48-96 hours after online publication and is updated daily on week days.
Initial download of the metrics may take a while.