Fig. 1.

Download original image
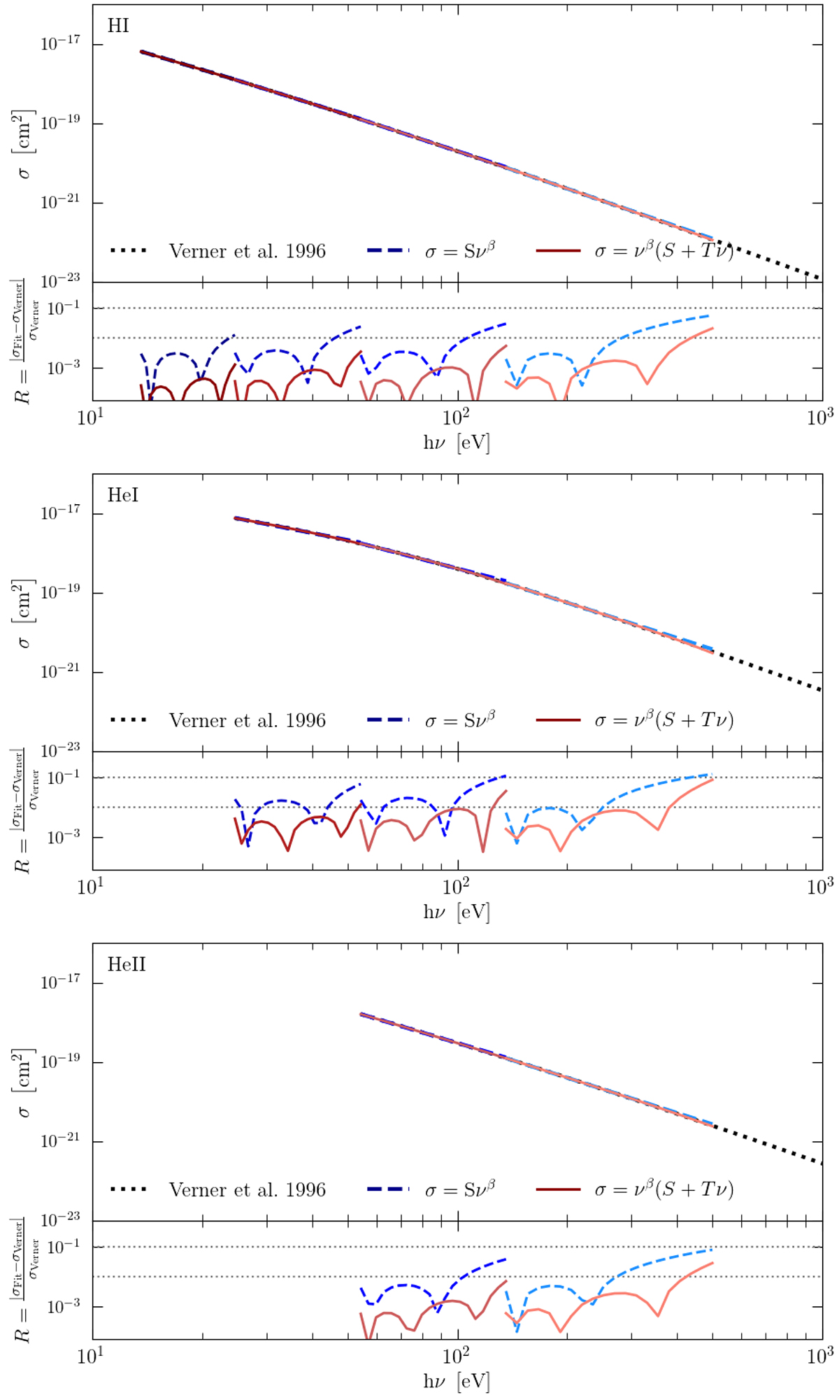
Piece-wise power-law fits to the HI, HeI, and HeII photo-ionisation cross-section (top panels) and the associated relative error (lower panels). The black dotted line shows the cross-sections from Verner et al. (1996), the blue dashed lines a simple power-law fit, and the red solid lines a power-law series (Eq. 5). The horizontal dotted lines in the lower panels indicate relative errors of 1% and 10%.
Current usage metrics show cumulative count of Article Views (full-text article views including HTML views, PDF and ePub downloads, according to the available data) and Abstracts Views on Vision4Press platform.
Data correspond to usage on the plateform after 2015. The current usage metrics is available 48-96 hours after online publication and is updated daily on week days.
Initial download of the metrics may take a while.