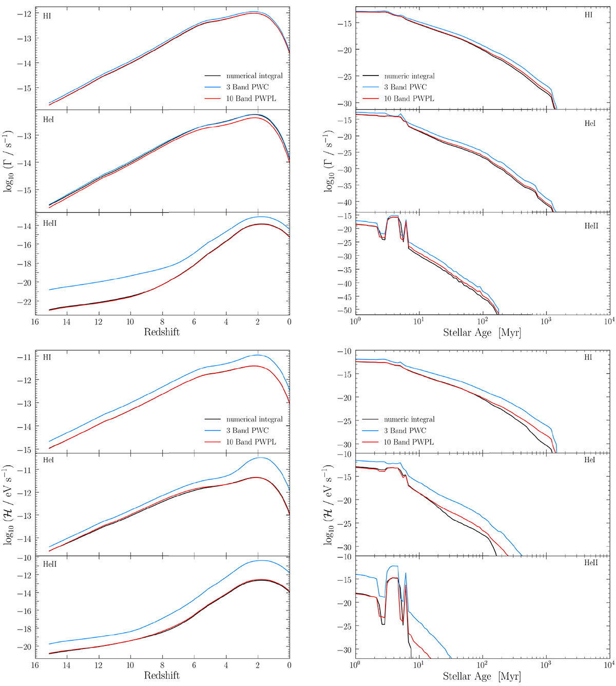
Fig. 4.

Download original image
Photo-ionisation rate (top) and photo-heating rate (bottom), for a redshift dependent uniform Haardt & Madau (2012) UVB spectrum (left) and an aging SSP with Mcl = 106 M⊙ at a distance of 100 pc (right). The blue line shows the ionisation and heating rate for the common PWC approximation of the radiation field in combination with a constant σeff. The red line corresponds to our new PWPL approximation for the radiation field in combination with the power-law photo-ionisation cross-section (Eq. 6).
Current usage metrics show cumulative count of Article Views (full-text article views including HTML views, PDF and ePub downloads, according to the available data) and Abstracts Views on Vision4Press platform.
Data correspond to usage on the plateform after 2015. The current usage metrics is available 48-96 hours after online publication and is updated daily on week days.
Initial download of the metrics may take a while.