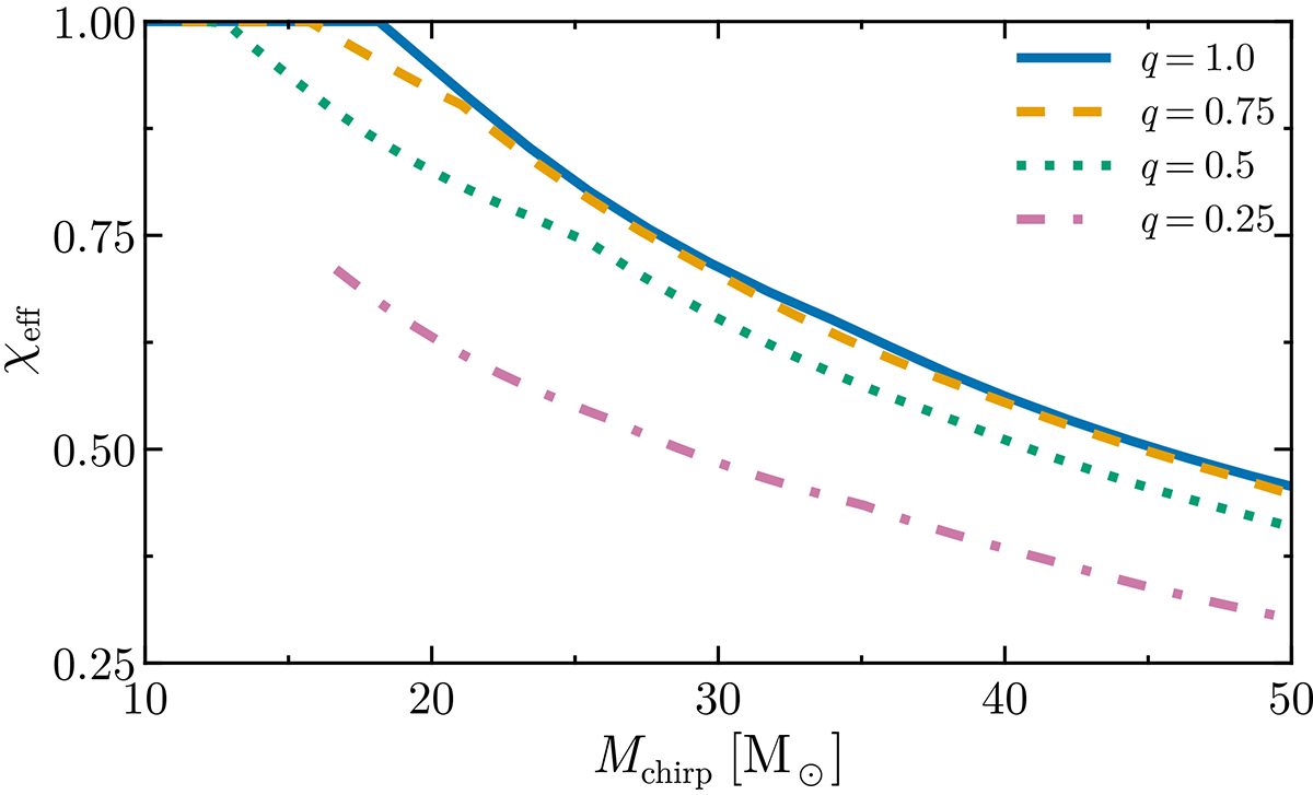
Fig. 3.

Download original image
Resulting effective spin for orbit-aligned BBHs as a function of mass ratio and chirp mass, under the assumption that both BHs have the maximum spin allowed by the critical rotation limit of their progenitors. Results are shown for a metallicity of Z ≃ Z⊙/50, and the truncation of the q = 0.25 line is due to the limited range of masses modeled.
Current usage metrics show cumulative count of Article Views (full-text article views including HTML views, PDF and ePub downloads, according to the available data) and Abstracts Views on Vision4Press platform.
Data correspond to usage on the plateform after 2015. The current usage metrics is available 48-96 hours after online publication and is updated daily on week days.
Initial download of the metrics may take a while.