Fig. 4.

Download original image
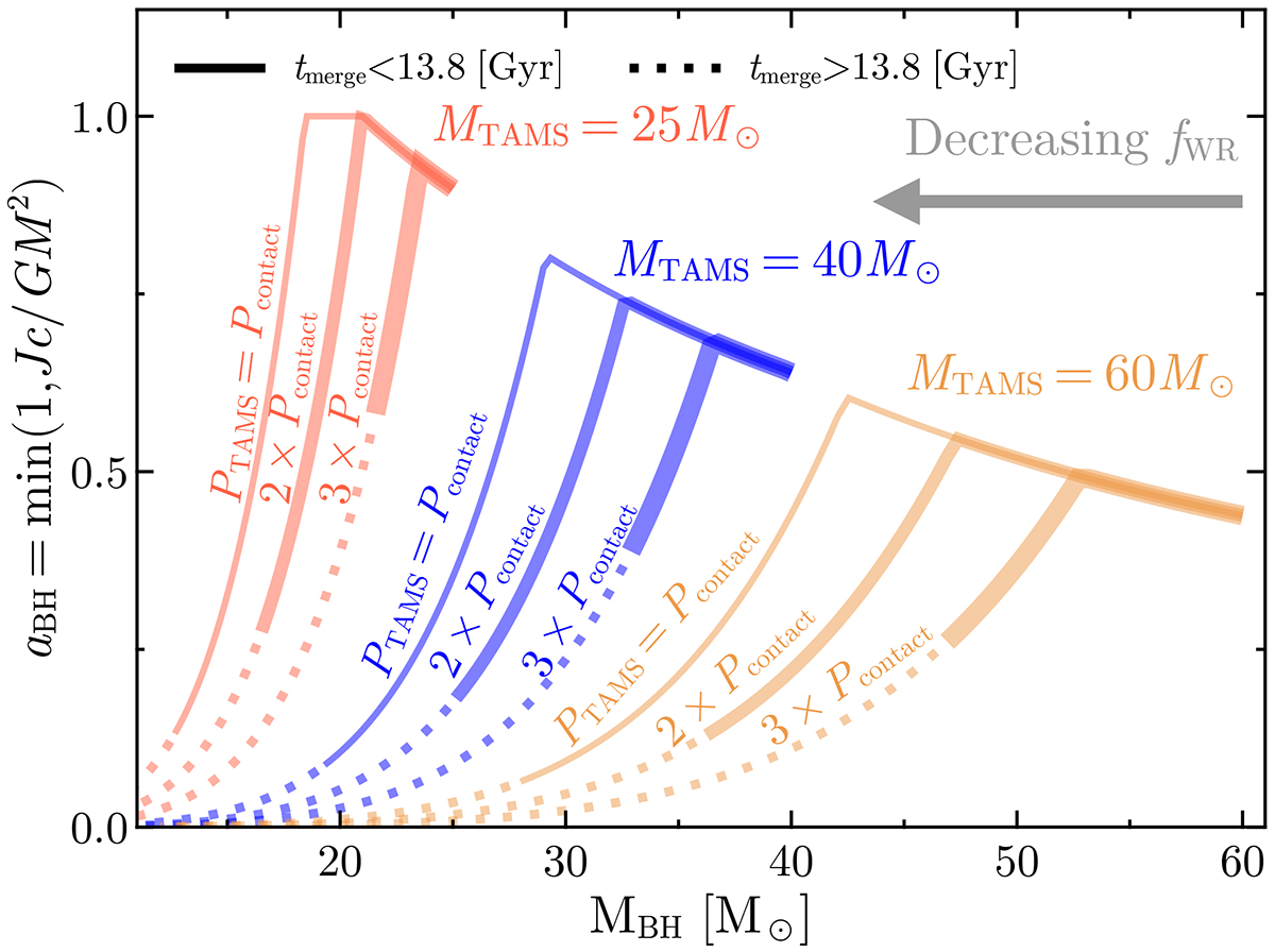
Resulting BH masses and spins of CHE stars using a semi-analytical model (see Sect. 3). The model assumes a mass ratio of unity, so two BHs with identical properties are produced. We consider the outcome for three masses at TAMS (25 M⊙, 40 M⊙, and 60 M⊙) and three orbital periods at TAMS scaled from the period at which the binary would be in contact. Each line represents the results for a fixed MTAMS and PTAMS with a variable fWR (where MBH = fWRMTAMS). Cases where the resulting BBH would be too wide to merge within the age of the Universe are marked with a dotted line. Note that for fWR close to unity, lines with different values of PTAMS converge to the same spins at any given mass. The effect of (P)PISNe is ignored in this figure. Precise boundaries depend on the metallicity used to determine stellar properties in the semi-analytical model used, which in this case were taken from calculations at Z⊙/50.
Current usage metrics show cumulative count of Article Views (full-text article views including HTML views, PDF and ePub downloads, according to the available data) and Abstracts Views on Vision4Press platform.
Data correspond to usage on the plateform after 2015. The current usage metrics is available 48-96 hours after online publication and is updated daily on week days.
Initial download of the metrics may take a while.