Open Access
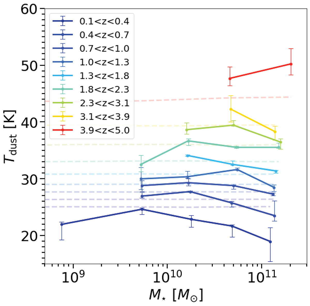
Fig. 2.

Download original image
Tdust as a function of M⋆ colour-coded by the redshift bin. Average trend of Tdust as a function redshift from S18, is shown as a reference in faded coloured dashed line.
Current usage metrics show cumulative count of Article Views (full-text article views including HTML views, PDF and ePub downloads, according to the available data) and Abstracts Views on Vision4Press platform.
Data correspond to usage on the plateform after 2015. The current usage metrics is available 48-96 hours after online publication and is updated daily on week days.
Initial download of the metrics may take a while.