Fig. B.5.

Download original image
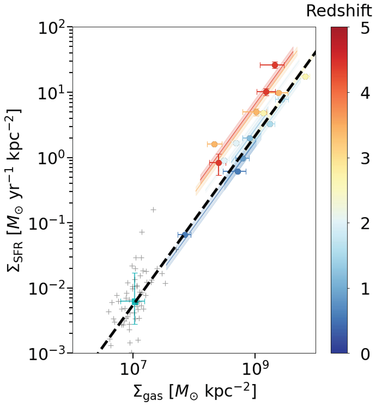
Kennicutt-Schmidt relation: ΣSFR as a function of Σgas. The dots represent the data from this work when computed using Mgas deduced with the Scoville et al. (2016) method only, and are colour coded by redshift. The cyan squared error bar represents the median of the sample distribution from Kennicutt (1998b), with individual galaxies displayed as grey crosses. The dashed black line represents the best-fit of all points. Coloured lines represent the best-fit, by fixing the slope to the all points best-fit value (i.e. ), at fix redshift.
Current usage metrics show cumulative count of Article Views (full-text article views including HTML views, PDF and ePub downloads, according to the available data) and Abstracts Views on Vision4Press platform.
Data correspond to usage on the plateform after 2015. The current usage metrics is available 48-96 hours after online publication and is updated daily on week days.
Initial download of the metrics may take a while.