Open Access

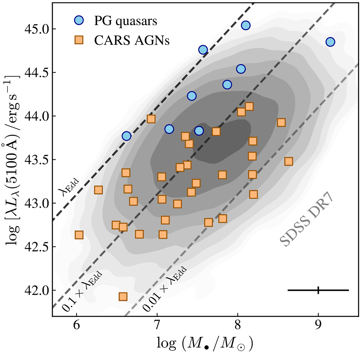
Fig. 1.

image

Download original image

AGN monochromatic luminosity at 5100 Å as a function of the BH mass. The error bar in the bottom right corner represents the typical uncertainty of the quantities. The dashed lines correspond to fixed Eddington ratios. The contours show the distribution of the broad-lined AGNs taken from the 7th data release of the Sloan Digital Sky Survey (SDSS; Abolfathi et al. 2018) at z < 0.35 presented by Liu et al. (2019).

Current usage metrics show cumulative count of Article Views (full-text article views including HTML views, PDF and ePub downloads, according to the available data) and Abstracts Views on Vision4Press platform.

Data correspond to usage on the plateform after 2015. The current usage metrics is available 48-96 hours after online publication and is updated daily on week days.

Initial download of the metrics may take a while.