Open Access

Fig. D.1.

image

Download original image

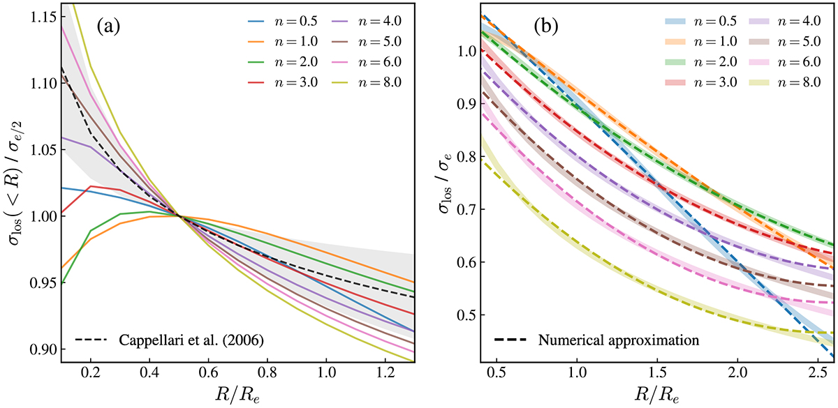
Aperture correction as a function of (a) the circular aperture size and (b) annular aperture location. The circular aperture correction values are normalized to the effective velocity dispersion at Re/2 (σe/2), following Cappellari et al. (2006). We also highlight the empirical mean circular aperture correction provided by Cappellari et al. (2006) for local E/S0 galaxies, with the shaded region representing its scatter. The numerical approximation for the annular aperture correction factors corresponds to that of Equation 1, using the input coefficients presented in Table 2.

Current usage metrics show cumulative count of Article Views (full-text article views including HTML views, PDF and ePub downloads, according to the available data) and Abstracts Views on Vision4Press platform.

Data correspond to usage on the plateform after 2015. The current usage metrics is available 48-96 hours after online publication and is updated daily on week days.

Initial download of the metrics may take a while.