Open Access
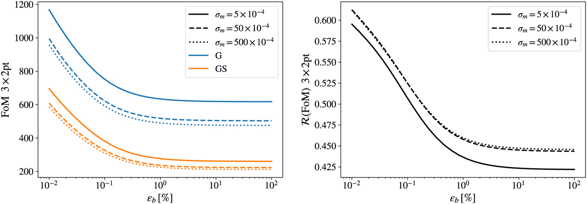
Fig. 11

Download original image
3×2pt FoM in the optimistic scenario with and without SSC as a function of the percentage prior εb on the galaxy bias parameters for σm = (5, 50, 500) × 10−4 (solid, dashed, dotted lines). Left: FoM values. Right. ℛ(FoM), defined as the ratio between the blue and red curves.
Current usage metrics show cumulative count of Article Views (full-text article views including HTML views, PDF and ePub downloads, according to the available data) and Abstracts Views on Vision4Press platform.
Data correspond to usage on the plateform after 2015. The current usage metrics is available 48-96 hours after online publication and is updated daily on week days.
Initial download of the metrics may take a while.