Fig. 2

Download original image
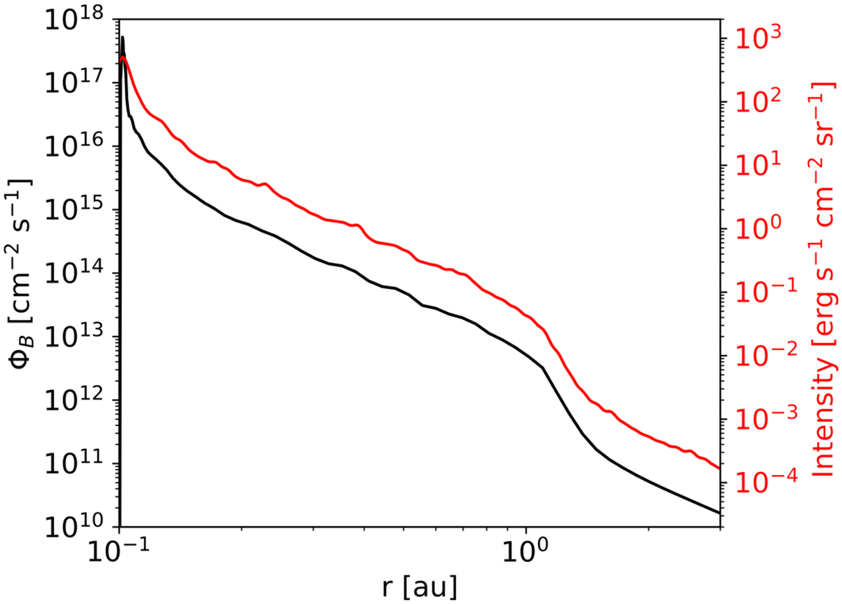
Radial profile of the emission of the 10.07 μm OH line and of the H2O column density photodissociated per unit time in the 114–144 nm FUV range. Throughout the disk, the line intensity is proportional to the amount of H2O locally photodissociated via the state, except in the innermost part of the disk where the line becomes optically thick and geometrical effects play a role.
Current usage metrics show cumulative count of Article Views (full-text article views including HTML views, PDF and ePub downloads, according to the available data) and Abstracts Views on Vision4Press platform.
Data correspond to usage on the plateform after 2015. The current usage metrics is available 48-96 hours after online publication and is updated daily on week days.
Initial download of the metrics may take a while.