Open Access
Fig. 4

Download original image
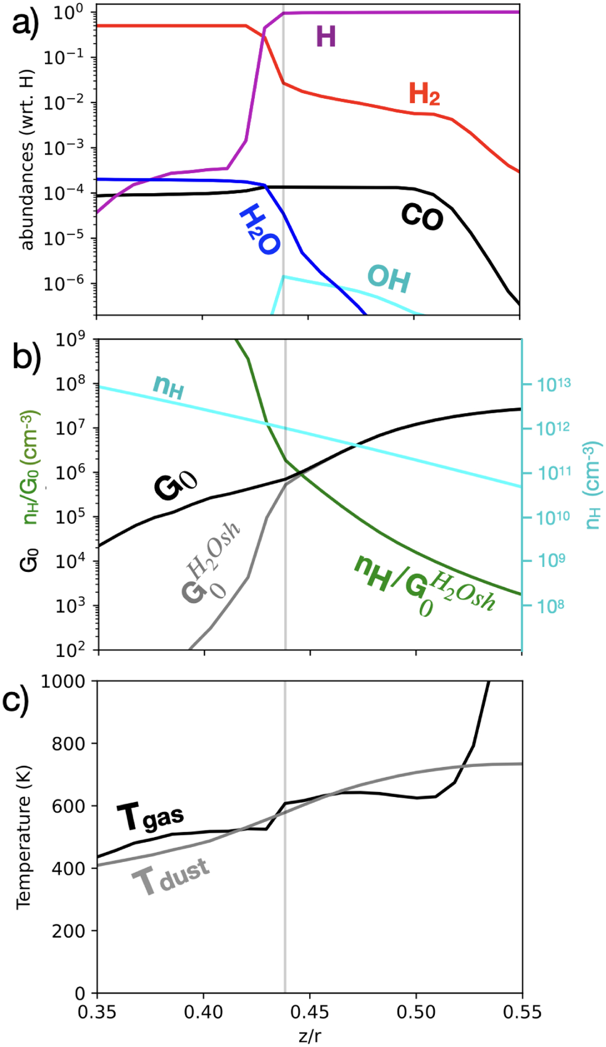
Physical and chemical structure of the irradiated layer at r = 0.3 au for our fiducial disk model. and G0 are the local FUV radiation field attenuated by gas and dust, and by dust only, respectively, in Draine units. The difference of these two quantities below z/r ≲ 0.46 reveals the UV shielding by H2O.
Current usage metrics show cumulative count of Article Views (full-text article views including HTML views, PDF and ePub downloads, according to the available data) and Abstracts Views on Vision4Press platform.
Data correspond to usage on the plateform after 2015. The current usage metrics is available 48-96 hours after online publication and is updated daily on week days.
Initial download of the metrics may take a while.