Open Access

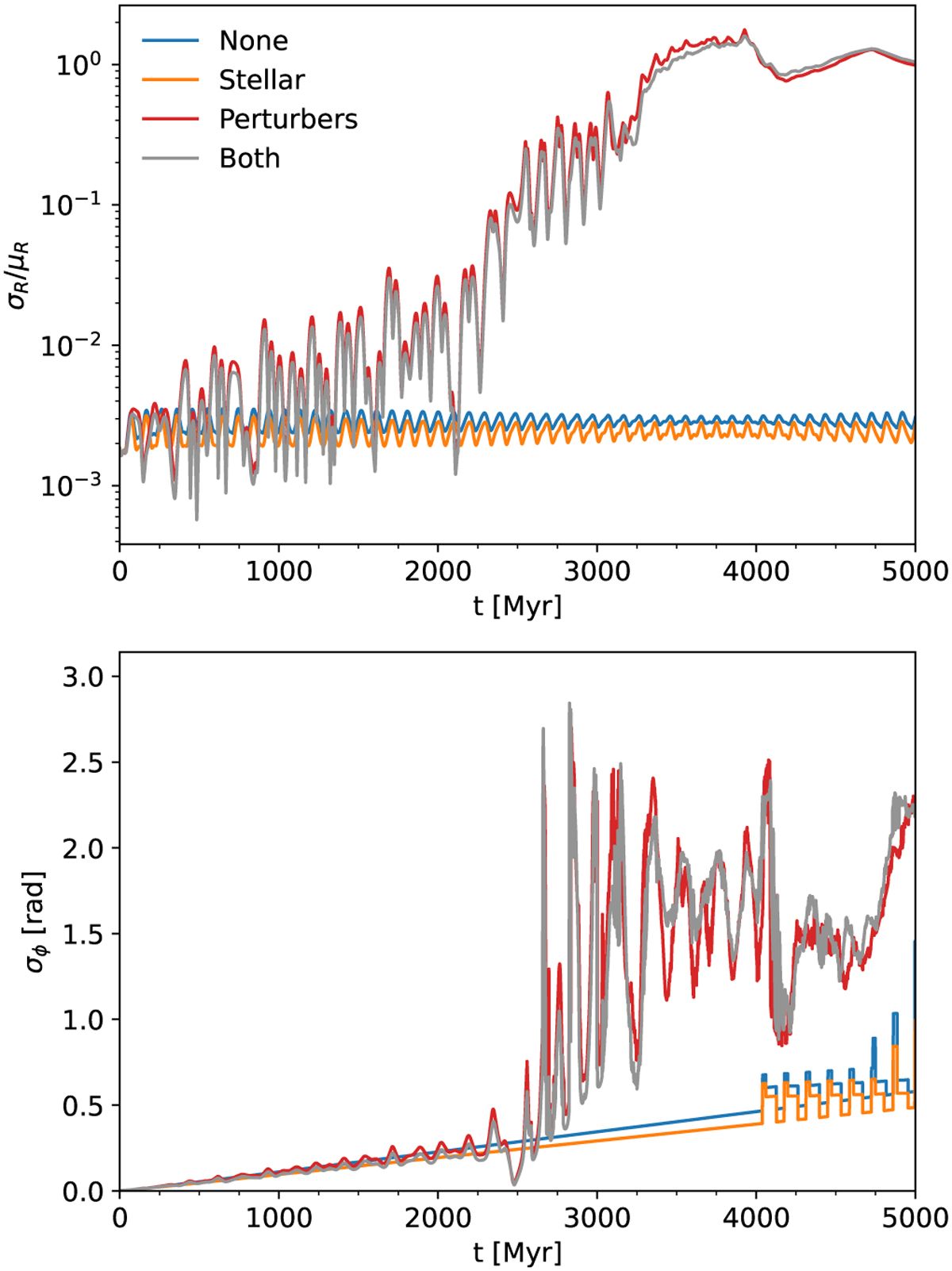
Fig. 9

image

Download original image

Standard deviation of the distance to the galactic centre normalised to the mean distance (top) and of the azimuthal angle in the galactic plane (bottom) of the cluster members as a function of time. Colours indicate the model set-up (red and grey are with perturbers; orange and grey are with stellar evolution).

Current usage metrics show cumulative count of Article Views (full-text article views including HTML views, PDF and ePub downloads, according to the available data) and Abstracts Views on Vision4Press platform.

Data correspond to usage on the plateform after 2015. The current usage metrics is available 48-96 hours after online publication and is updated daily on week days.

Initial download of the metrics may take a while.