Fig. 2

Download original image
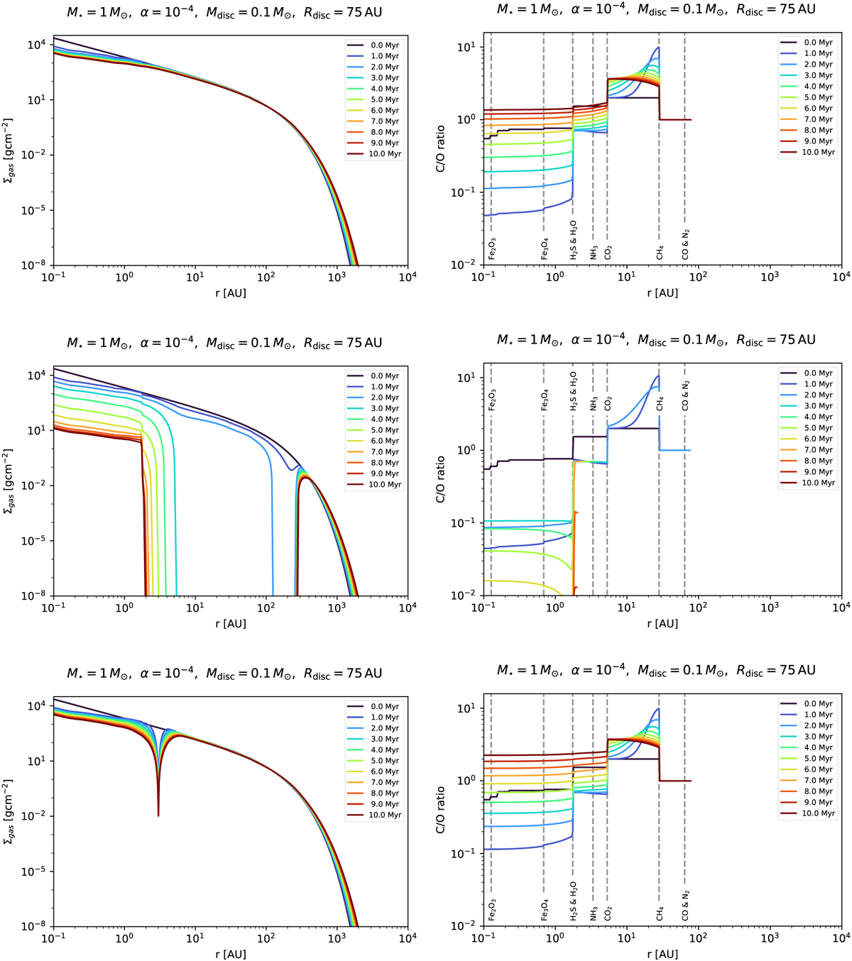
Disc evolution for different disc configurations. Top: viscous disc without internal photoevaporation. Middle: viscous disc with internal photoevaporation due to X-rays. Bottom: viscous disc without internal photoevaporation where a planet seed is put at 3 AU at 0.05 Myr. The planet has a final mass of about 2860 MEarth, and reaches pebble isolation mass at 0.1 Myr. Left: gas surface density as a function of disc radius, time evolution is shown in colour – from black, which corresponds to 0 Myr, to dark red, which corresponds to 10 Myr. Right: gaseous C/O ratio as a function of disc radius and time (colour-coded). The evaporation lines for different molecules are given as grey dashed lines. Note that the C/O ratio is calculated from number densities scaled to the solar value and that we, by definition, have no specified C/O ratio in the gas phase beyond the CO evaporation front. We use our standard parameters for this simulation, as given in Table 4.
Current usage metrics show cumulative count of Article Views (full-text article views including HTML views, PDF and ePub downloads, according to the available data) and Abstracts Views on Vision4Press platform.
Data correspond to usage on the plateform after 2015. The current usage metrics is available 48-96 hours after online publication and is updated daily on week days.
Initial download of the metrics may take a while.