Fig. A.1

Download original image
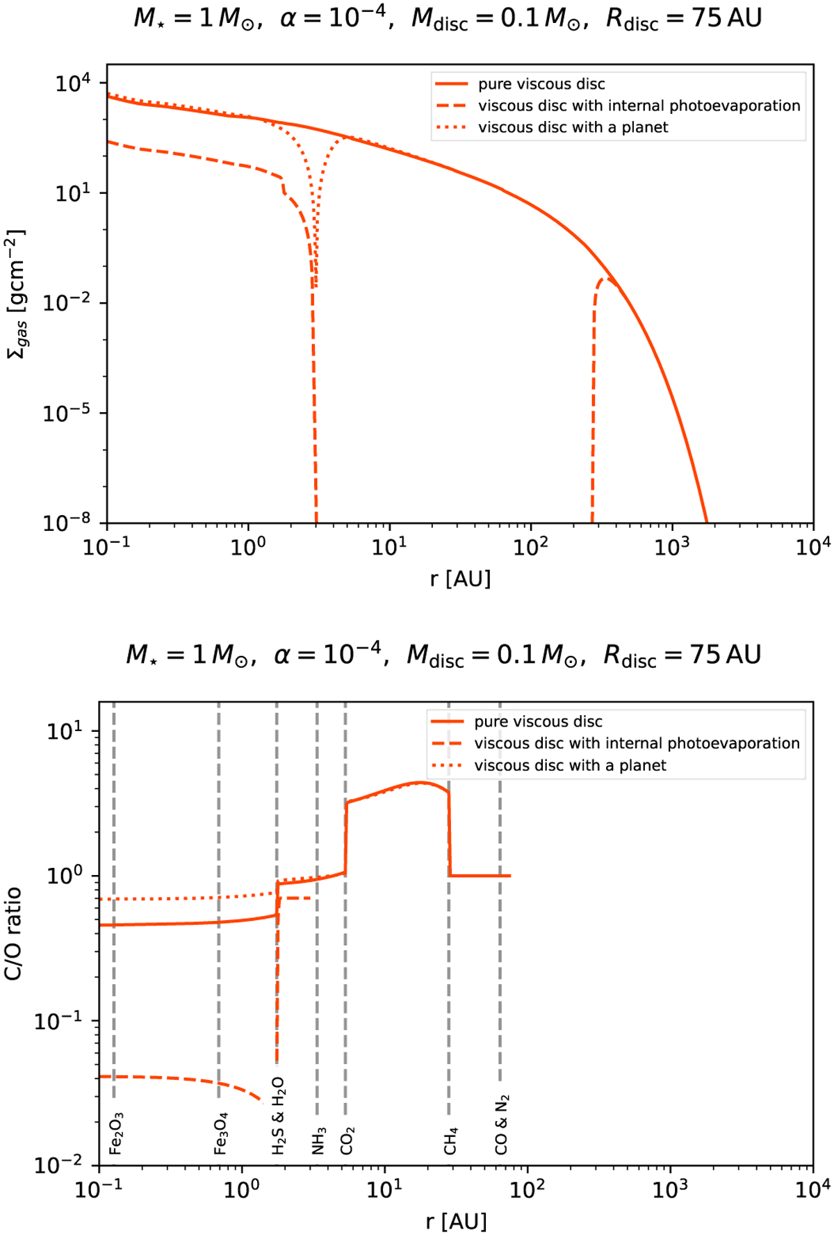
State of the disc at 5 Myr for the three different scenarios studied in this paper: a viscous disc (solid line), a viscous disc with internal photoevaporation due to X-rays (dashed line), and a viscous disc with a planet sitting at 3 AU (dotted line). Top: gas surface density as a function of disc radius. Bottom: gaseous C/O ratio as a function of disc radius. Plotting and simulation parameters as in Figure 2.
Current usage metrics show cumulative count of Article Views (full-text article views including HTML views, PDF and ePub downloads, according to the available data) and Abstracts Views on Vision4Press platform.
Data correspond to usage on the plateform after 2015. The current usage metrics is available 48-96 hours after online publication and is updated daily on week days.
Initial download of the metrics may take a while.