Open Access

Fig. 6

image

Download original image

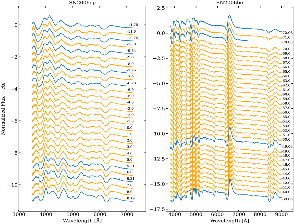
Spectral time series for Type Ia SN2006cp and Type II SN2006be. The observed spectra are shown in blue, while our spectral time series, calculated with the weighted average OT, are displayed in orange. The black numbers represent the phase with respect to the maximum flux and the tpt, respectively.

Current usage metrics show cumulative count of Article Views (full-text article views including HTML views, PDF and ePub downloads, according to the available data) and Abstracts Views on Vision4Press platform.

Data correspond to usage on the plateform after 2015. The current usage metrics is available 48-96 hours after online publication and is updated daily on week days.

Initial download of the metrics may take a while.