Fig. 19

Download original image
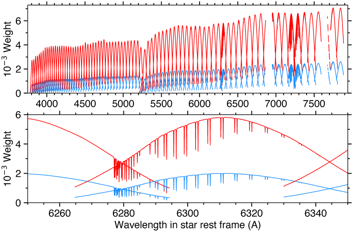
Order-per-order weight profiles of disk-integrated stellar spectra in the first (blue) and last (red) exposures of WASP-76 epoch 1 (the lower panel shows a zoom-in of the upper panel). This shows how lower weights are given at the edges of detector orders, at the bottom of telluric lines, and in regions more strongly corrected for Earth’s atmospheric diffusion (i.e., toward blue wavelengths and at the start/end of epochs). The stellar spectrum is not included, as it does not contribute to disk-integrated spectra weighing.
Current usage metrics show cumulative count of Article Views (full-text article views including HTML views, PDF and ePub downloads, according to the available data) and Abstracts Views on Vision4Press platform.
Data correspond to usage on the plateform after 2015. The current usage metrics is available 48-96 hours after online publication and is updated daily on week days.
Initial download of the metrics may take a while.