Fig. 21

Download original image
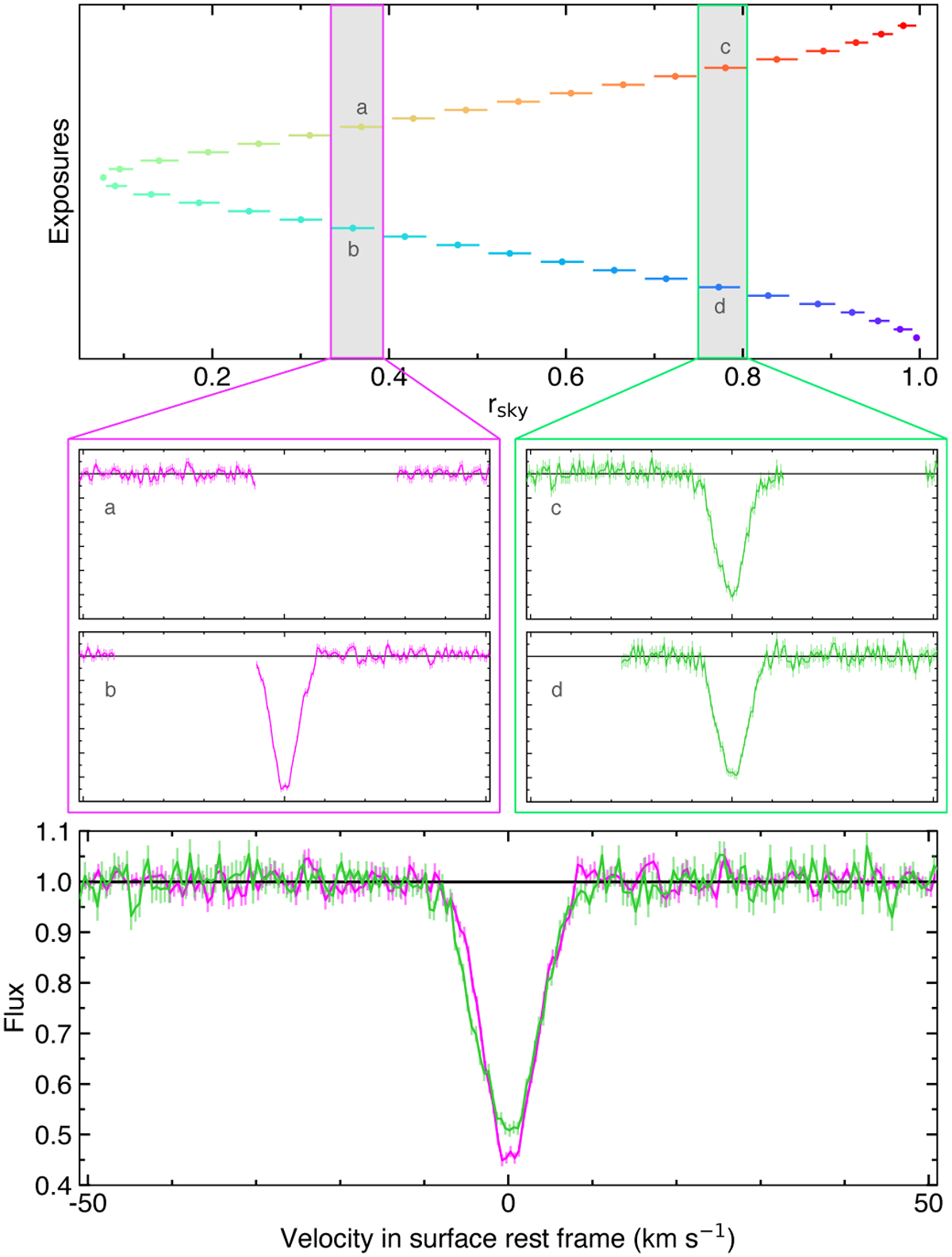
Binning of WASP-76 intrinsic CCFs in epoch 1. The top panel shows the rsky windows covered by each exposure (offset vertically for visibility, and colored over the rainbow scale with increasing orbital phase). Middle panels show the intrinsic CCFs of exposures overlapping with the binning windows chosen as example. The bottom panel shows the resulting binned profiles, corrected for planet contamination and tracing variations in shape across the stellar surface.
Current usage metrics show cumulative count of Article Views (full-text article views including HTML views, PDF and ePub downloads, according to the available data) and Abstracts Views on Vision4Press platform.
Data correspond to usage on the plateform after 2015. The current usage metrics is available 48-96 hours after online publication and is updated daily on week days.
Initial download of the metrics may take a while.