Open Access
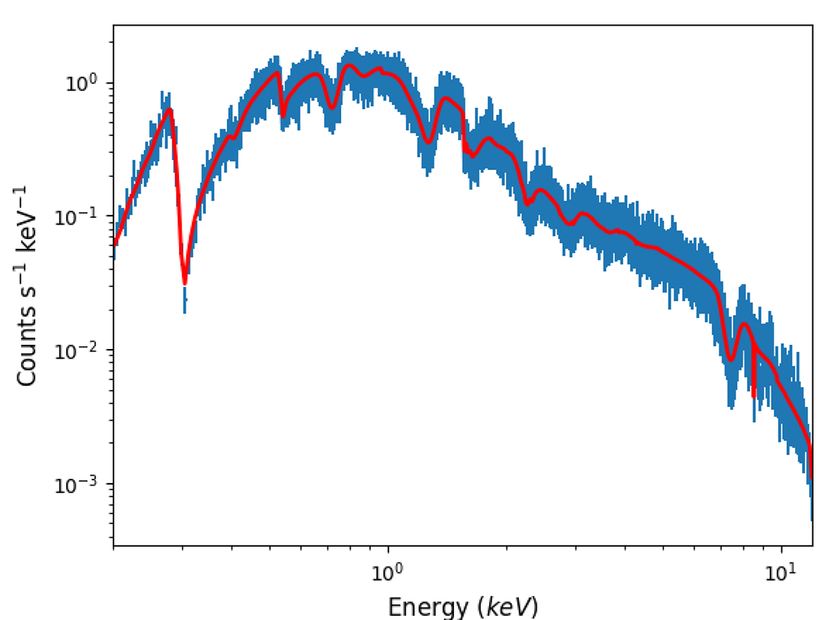
Fig. 10.

Download original image
Simulated 100ks XRISMResolve spectrum (blue points) for a wind with log(ξ) = 4, v0 = 0.10c, NH = 5 ⋅ 1023, θout = 72deg and with the gate valve open. The best-fit model is indicated as a red line. The spectrum has been re-binned for plotting purposes.
Current usage metrics show cumulative count of Article Views (full-text article views including HTML views, PDF and ePub downloads, according to the available data) and Abstracts Views on Vision4Press platform.
Data correspond to usage on the plateform after 2015. The current usage metrics is available 48-96 hours after online publication and is updated daily on week days.
Initial download of the metrics may take a while.