Open Access

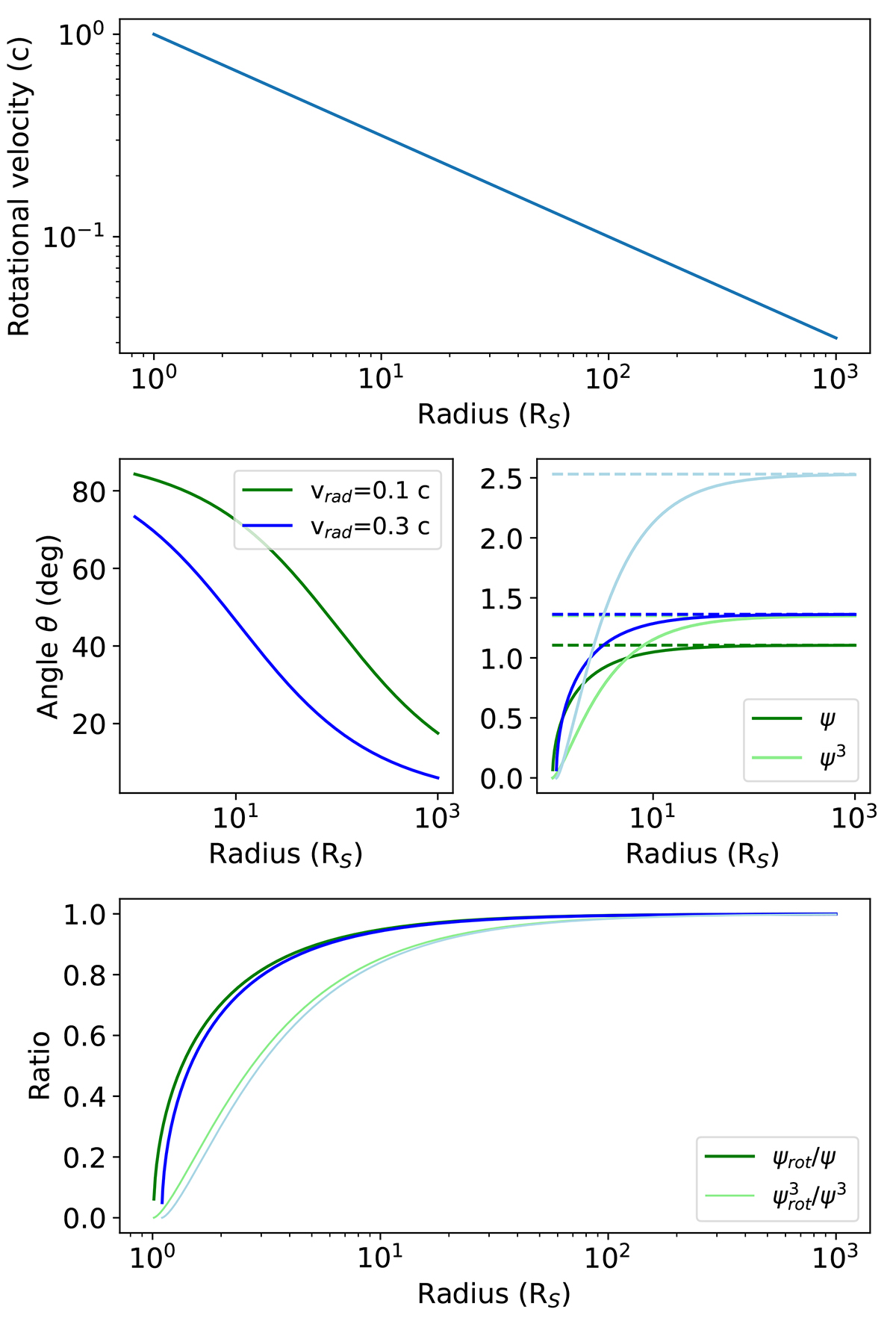
Fig. A.1.

image

Download original image

Impact of a velocity component perpendicular to the LOS. Top: rotational velocity vrot (in units of c) as a function of the disc radius (in units of RS). Middle, both as a function of the radius; left: angle θ between the LOS and the total velocity for vrad = 0.1, 0.3 c (colour coding; see legend); right: relativistic factors ψrot, ψrot3 for the same total velocity (dark and light colours, respectively). For comparison, dashed lines report ψ, ψ3, i.e. the same factors computed neglecting vrot. Bottom: ratio between the relativistic factors: dark ad light colours correspond to ψrot/ψ and ψrot3/ψ3, respectively. Colour coding as above.

Current usage metrics show cumulative count of Article Views (full-text article views including HTML views, PDF and ePub downloads, according to the available data) and Abstracts Views on Vision4Press platform.

Data correspond to usage on the plateform after 2015. The current usage metrics is available 48-96 hours after online publication and is updated daily on week days.

Initial download of the metrics may take a while.