Open Access

Fig. E.2

image

Download original image

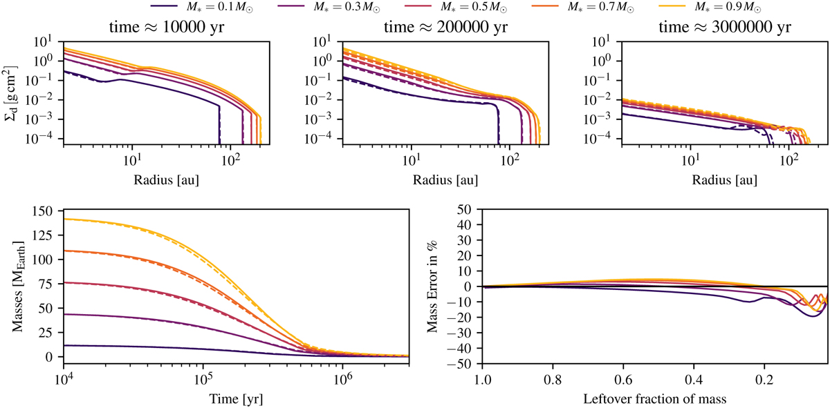
Comparison between DustPy and our model in setups with different stellar masses without dust diffusion. Solid lines show the results of our TriPoD simulations and dashed lines show the respective DustPy simulations. The upper row shows a time series of the dust column density evolution in three snapshots. In the lower row, we show the mass evolution and the errors with respect to the full coagulation model DustPy.

Current usage metrics show cumulative count of Article Views (full-text article views including HTML views, PDF and ePub downloads, according to the available data) and Abstracts Views on Vision4Press platform.

Data correspond to usage on the plateform after 2015. The current usage metrics is available 48-96 hours after online publication and is updated daily on week days.

Initial download of the metrics may take a while.