Open Access

Fig. 5

image

Download original image

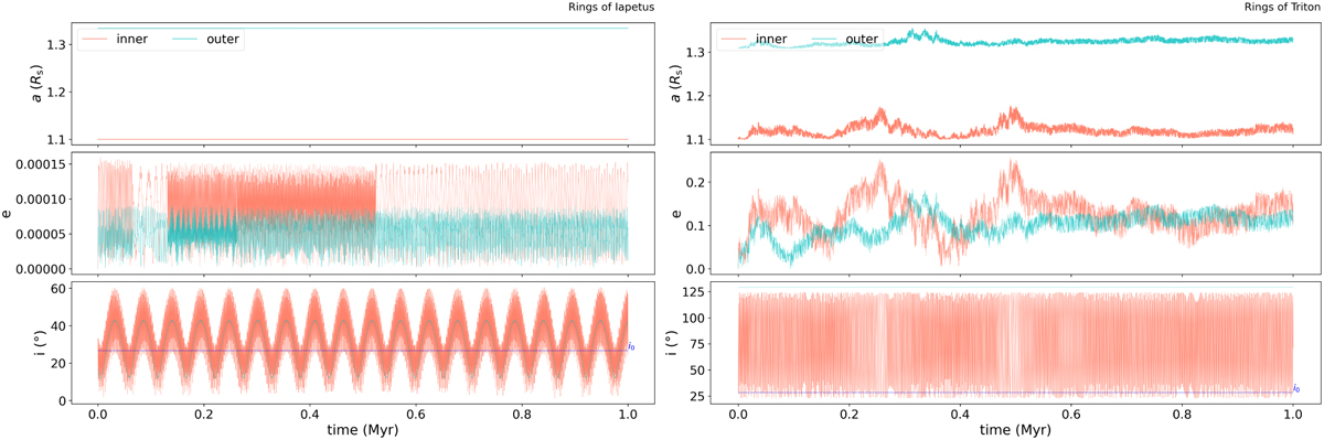
Orbital elements as a function of time for particles orbiting Iapetus (left panels) and Triton (right panels). Iapetus and Triton are the most extreme cases observed in the upper panel of Fig. 4. The horizontal blue line represents the initial inclination (i0) of the particles.

Current usage metrics show cumulative count of Article Views (full-text article views including HTML views, PDF and ePub downloads, according to the available data) and Abstracts Views on Vision4Press platform.

Data correspond to usage on the plateform after 2015. The current usage metrics is available 48-96 hours after online publication and is updated daily on week days.

Initial download of the metrics may take a while.