Fig. 6

Download original image
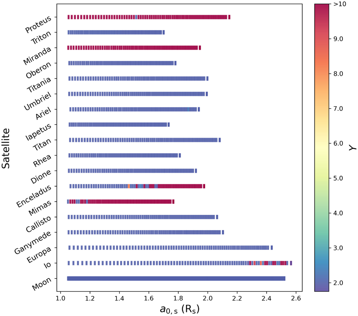
Orbital stability within the ring systems of selected satellites. The horizontal axis represents the initial semi-major axis a0,s in satellite radii Rs of the particles in the rings, and the vertical axis lists the various satellites. The MEGNO (Y) parameter values for each particle are depicted by the colour scale, with shades varying according to the detected degree of orbital stability.
Current usage metrics show cumulative count of Article Views (full-text article views including HTML views, PDF and ePub downloads, according to the available data) and Abstracts Views on Vision4Press platform.
Data correspond to usage on the plateform after 2015. The current usage metrics is available 48-96 hours after online publication and is updated daily on week days.
Initial download of the metrics may take a while.