Fig. A.2.

Download original image
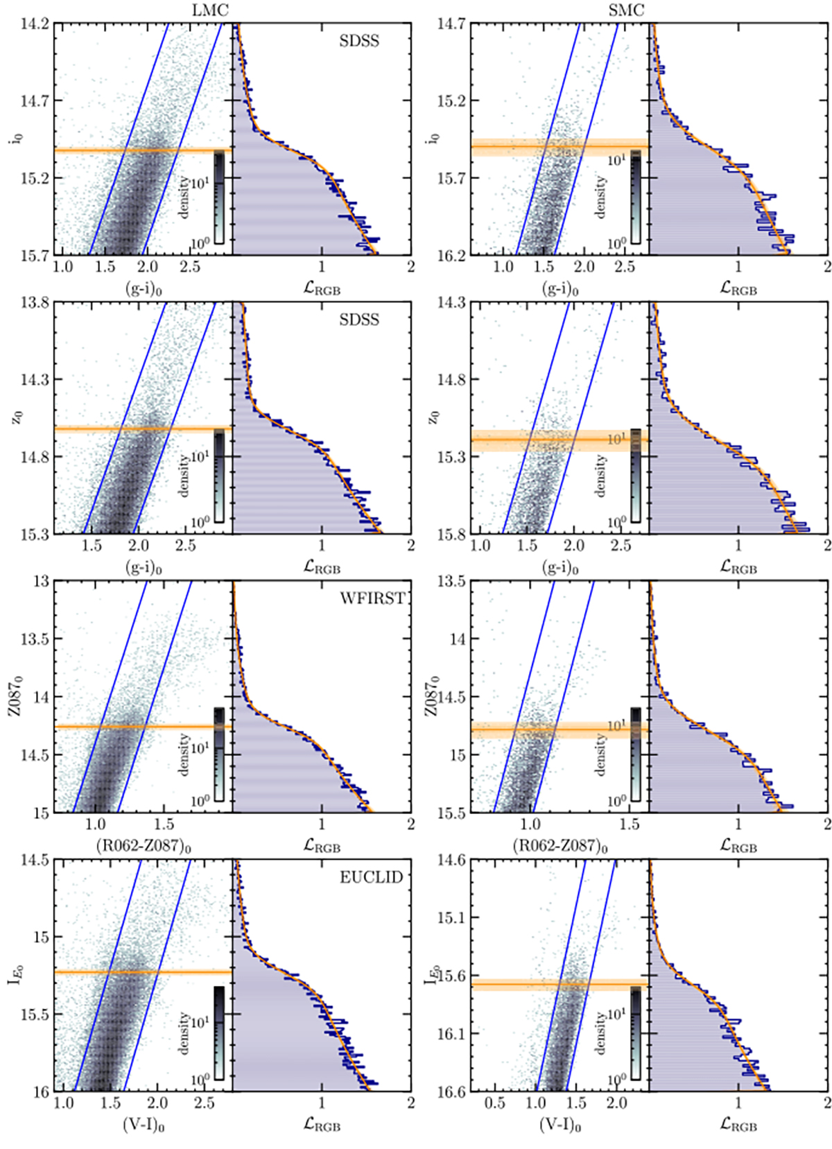
Detection of the TRGB with our method for the LMC (left column of panels) and the SMC (right column of panels), for, from the upper to the lower row of panels, SDSS i, SDSS z, NGRST (WFIRST) Z087 and Euclid-VIS IE passbands, as a function of a colour in the respective photometric systems (except for Euclid, as IE is the only passband of the system that is completely enclosed in the spectral range of Gaia XP spectra; in this case we used the V-I colour). The arrangement and the meaning of the symbols are the same as in Fig. 3.
Current usage metrics show cumulative count of Article Views (full-text article views including HTML views, PDF and ePub downloads, according to the available data) and Abstracts Views on Vision4Press platform.
Data correspond to usage on the plateform after 2015. The current usage metrics is available 48-96 hours after online publication and is updated daily on week days.
Initial download of the metrics may take a while.