Fig. 9.

Download original image
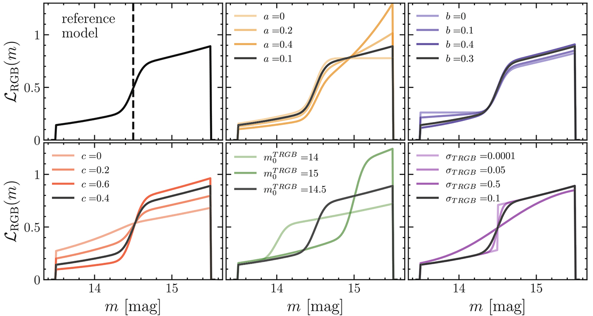
The adopted model of the upper RGB LF (5) for different values of its free parameters. The top left panel shows a reference model (black solid line) with (a, b, c, m0TRGB, σTRGB) = (0.1, 0.3, 0.4, 14.5, 0.1) alongside the nominal value of the tip magnitude m0TRGB (vertical dashed line). The other panels show how the model changes when changing a single parameter while keeping the others to the values of the reference model.
Current usage metrics show cumulative count of Article Views (full-text article views including HTML views, PDF and ePub downloads, according to the available data) and Abstracts Views on Vision4Press platform.
Data correspond to usage on the plateform after 2015. The current usage metrics is available 48-96 hours after online publication and is updated daily on week days.
Initial download of the metrics may take a while.