Open Access

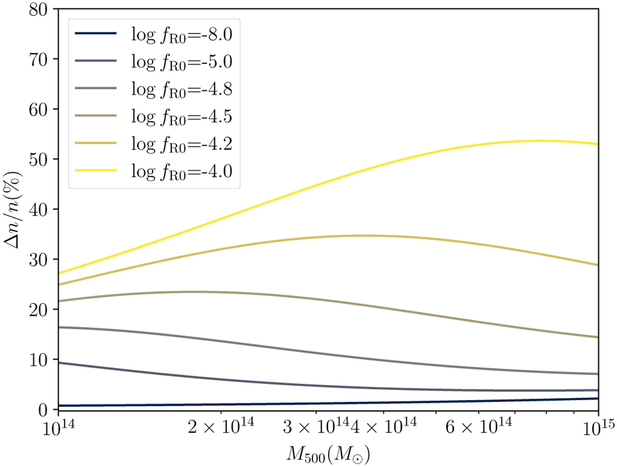
Fig. 2

image

Download original image

Relative difference (in percentages) of the HMF at z = 0.5 when we increase fR0. We note that ∆n = dn/d ln M(fR0) – dn/d ln M, where dn/d ln M(fR0) is the HMF described with Eq. (20) and dn/d ln M is obtained with the GR fitting function from Tinker et al. (2008). Increased values of fR0 create more massive halos.

Current usage metrics show cumulative count of Article Views (full-text article views including HTML views, PDF and ePub downloads, according to the available data) and Abstracts Views on Vision4Press platform.

Data correspond to usage on the plateform after 2015. The current usage metrics is available 48-96 hours after online publication and is updated daily on week days.

Initial download of the metrics may take a while.