Open Access

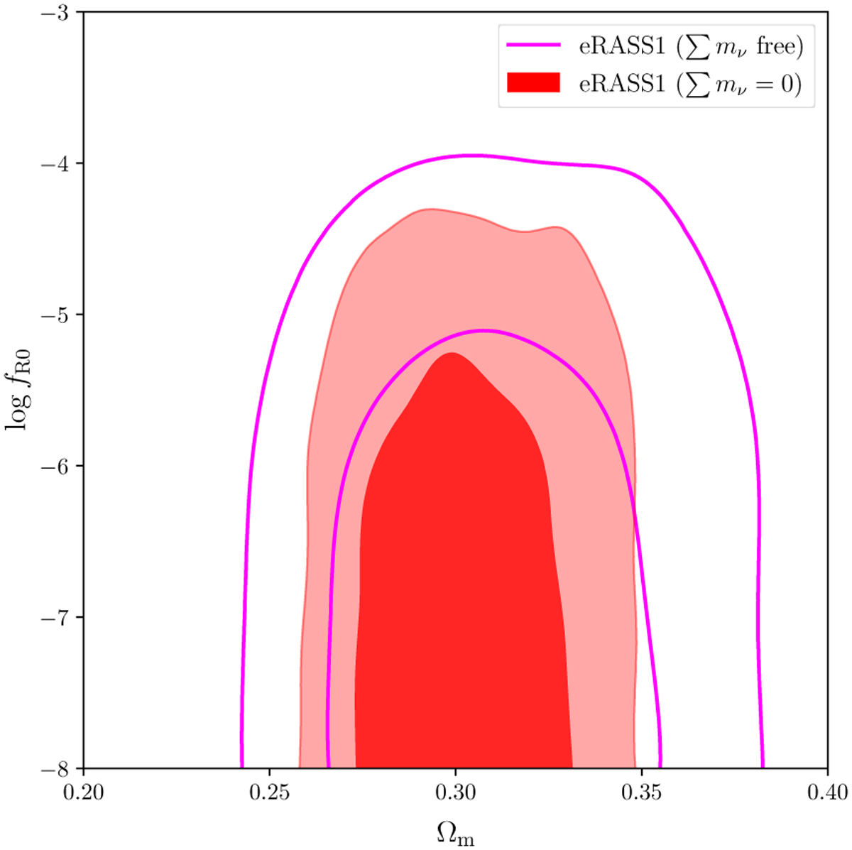
Fig. 5

image

Download original image

Constraints obtained on log fR0 with eRASS1 clusters. No external cosmological datasets are combined with our data, which is shown in this figure. Constraints with a fixed neutrino mass are shown in red, while constraints for which the neutrino mass is free are shown in magenta.

Current usage metrics show cumulative count of Article Views (full-text article views including HTML views, PDF and ePub downloads, according to the available data) and Abstracts Views on Vision4Press platform.

Data correspond to usage on the plateform after 2015. The current usage metrics is available 48-96 hours after online publication and is updated daily on week days.

Initial download of the metrics may take a while.