Open Access

Fig. A.1

image

Download original image

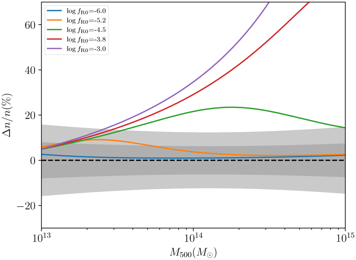
Relative difference of the HMF in different MG scenarios. ∆n = dn/dln M(fR0) – dn/d ln M, where dn/d ln M(fR0) is the HMF described with Eq. 20 and dn/d ln M is obtained with the GR fitting function from Tinker et al. (2008). We use the posterior distribution of the correcting parameters s and q and compare their impact to one of the MG parameters. The dark gray area corresponds to the 68% confidence level area, while the light gray one corresponds to the 95% confidence area.

Current usage metrics show cumulative count of Article Views (full-text article views including HTML views, PDF and ePub downloads, according to the available data) and Abstracts Views on Vision4Press platform.

Data correspond to usage on the plateform after 2015. The current usage metrics is available 48-96 hours after online publication and is updated daily on week days.

Initial download of the metrics may take a while.