Fig. 2.

Download original image
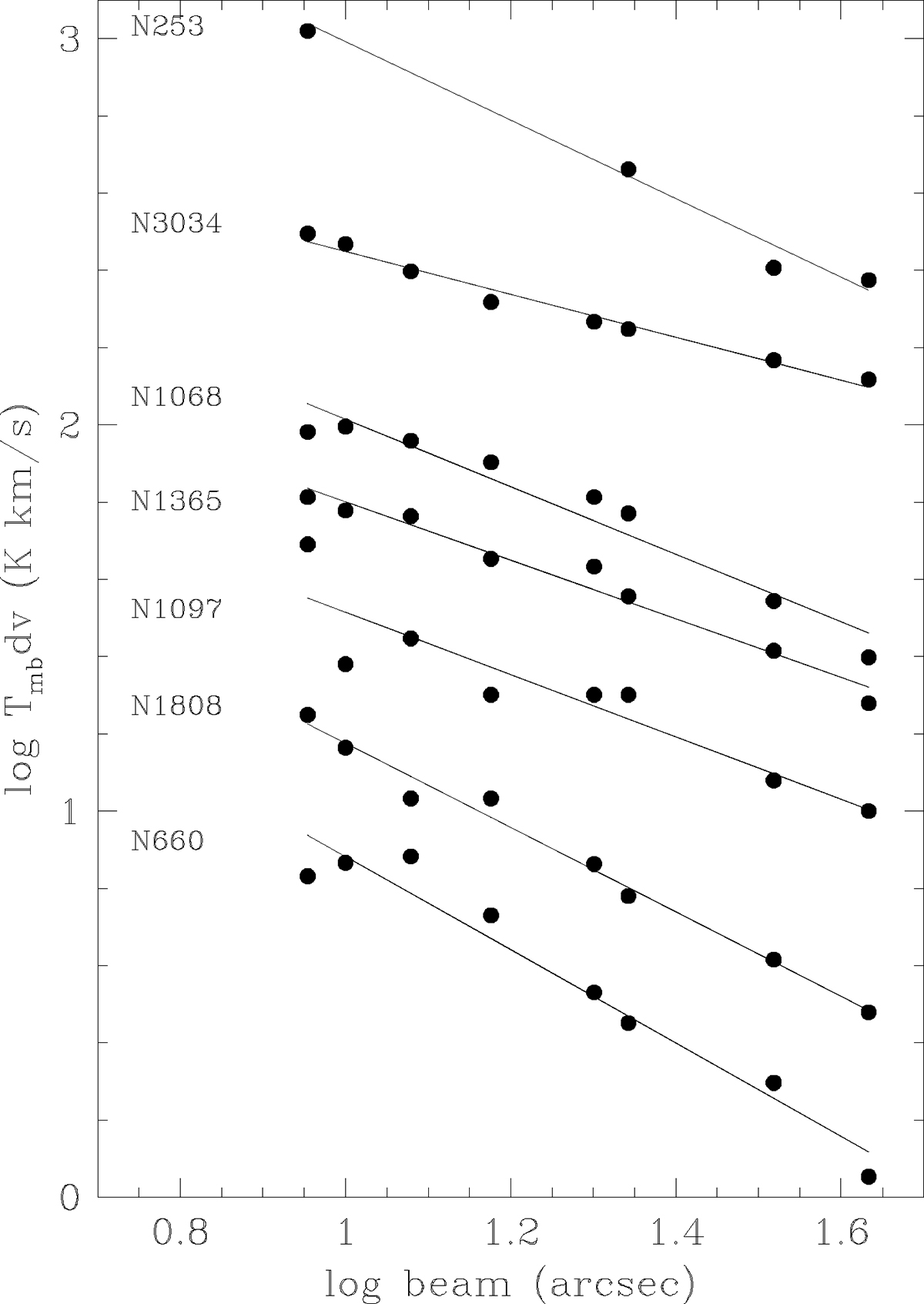
Integrated 12CO(6–5) line intensities as a function of aperture. For clarity sake, points for NGC 1808 and NGC 660 were shifted down by 0.80 and 0.85, respectively. Solid lines are least-squares fits to the data. Six galaxies have poor data coverage and are not shown. NGC 613, IC 342, and NGC 2559 have a single data point each. NGC 4945, NGC 5236, and NGC 6240 have only two data points each.
Current usage metrics show cumulative count of Article Views (full-text article views including HTML views, PDF and ePub downloads, according to the available data) and Abstracts Views on Vision4Press platform.
Data correspond to usage on the plateform after 2015. The current usage metrics is available 48-96 hours after online publication and is updated daily on week days.
Initial download of the metrics may take a while.