Fig. 5.

Download original image
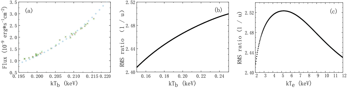
Relations between the physical quantities used to match the observation and the fitted parameters. Panel a: Relations between the flux (4 ∼ 23 keV) and the temperature of the seed photons. The observed flux is marked by the plus, the model calculated flux is marked by the cross, and the flux marked by the star is obtained using the same parameters, which are the central values of the parameters for the twin kHz QPOs with the frequencies (νl = 883.44 ± 1.10 Hz, νu = 1132.73 ± 6.47 Hz) in Table B.1, except for the changed kTb. Panel b: Relations between the calculated rms ratio and the temperature of the seed photons. Panel c: Relations between the calculated rms ratio and the temperature of electrons. Note: The data in panels (b) and (c) were obtained when the parameters in Table B.1 for the above twin kHz QPOs were kept unchanged, except for kTb in panel (b), or were kept unchanged, except for kTe in panel (c).
Current usage metrics show cumulative count of Article Views (full-text article views including HTML views, PDF and ePub downloads, according to the available data) and Abstracts Views on Vision4Press platform.
Data correspond to usage on the plateform after 2015. The current usage metrics is available 48-96 hours after online publication and is updated daily on week days.
Initial download of the metrics may take a while.