Open Access
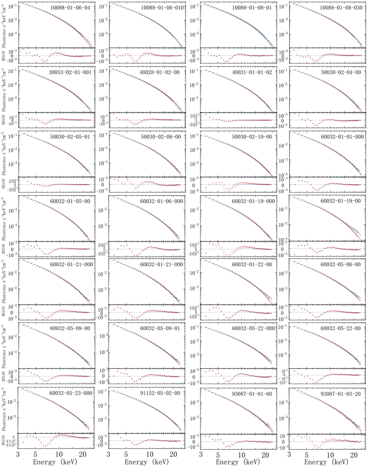
Fig. 7.

Download original image
Fits and their residuals for the spectra in the 28 observations with the observation number in the upper right part of these panels in 4U 1636-53. The data are described by the dots from the fits of kTe, kTb, τ, L, and the data are described by the crosses from the fits of L2. All the units of the residuals are also .
Current usage metrics show cumulative count of Article Views (full-text article views including HTML views, PDF and ePub downloads, according to the available data) and Abstracts Views on Vision4Press platform.
Data correspond to usage on the plateform after 2015. The current usage metrics is available 48-96 hours after online publication and is updated daily on week days.
Initial download of the metrics may take a while.