Fig. B.1

Download original image
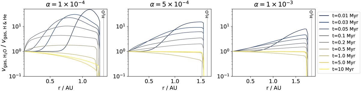
Velocity of the water vapour relative to the velocity of H & He at different times (colours) for the unperturbed disc. The different viscosities are shown from left to right (setups: V1noP, V5noP & V10noP). The vertical line shows the position of the water ice lines. A positive velocity ratio indicates an inward flow of gas.
Current usage metrics show cumulative count of Article Views (full-text article views including HTML views, PDF and ePub downloads, according to the available data) and Abstracts Views on Vision4Press platform.
Data correspond to usage on the plateform after 2015. The current usage metrics is available 48-96 hours after online publication and is updated daily on week days.
Initial download of the metrics may take a while.