Fig. B.2

Download original image
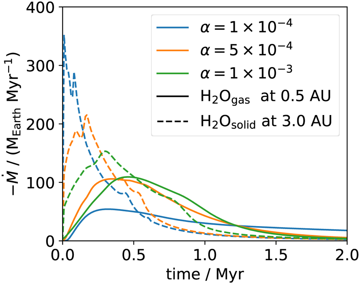
Disc accretion rate of water gas at 0.5 AU (solid lines) and water solids at 3.0 AU (dashed lines) over time of the unperturbed disc. Different colours represent the different viscosities (setups: V1noP, V5noP & V10noP). The water ice line is between 1 and 2 AU depending on the viscosity. Positive values indicate inward movement.
Current usage metrics show cumulative count of Article Views (full-text article views including HTML views, PDF and ePub downloads, according to the available data) and Abstracts Views on Vision4Press platform.
Data correspond to usage on the plateform after 2015. The current usage metrics is available 48-96 hours after online publication and is updated daily on week days.
Initial download of the metrics may take a while.