Fig. 1.

Download original image
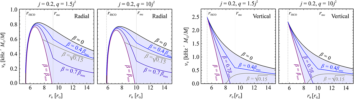
Axisymmetric oscillation frequencies calculated for different β and NSs with j = 0.2 and two particular values of q/j2: q/j2 = 1.5 (extreme NS compactness) and q/j2 = 10 (high NS oblateness). Left: Radial mode. Right: Vertical mode. The curves indicating particular values of β are normalised to the maximum value, β = βmax. The critical radius limiting the existence of cusp tori is denoted by the dotted vertical line marked rmc. The maximum value β = βmax matches the cusp value when r < rmc and the value implying tori extending to infinity when r > rmc. For the absolute value of β, only one specific curve is drawn in each panel, (marked in grey), which makes it possible to distinguish frequencies that correspond to relatively large tori, as they are displayed below this curve. The dotted vertical lines in each panel marked rmc denote the radii limiting the existence of cusp tori: any torus with a centre above this radius does not exhibit a cusp. An analogous notation is used later in several other figures.
Current usage metrics show cumulative count of Article Views (full-text article views including HTML views, PDF and ePub downloads, according to the available data) and Abstracts Views on Vision4Press platform.
Data correspond to usage on the plateform after 2015. The current usage metrics is available 48-96 hours after online publication and is updated daily on week days.
Initial download of the metrics may take a while.