Fig. 2.

Download original image
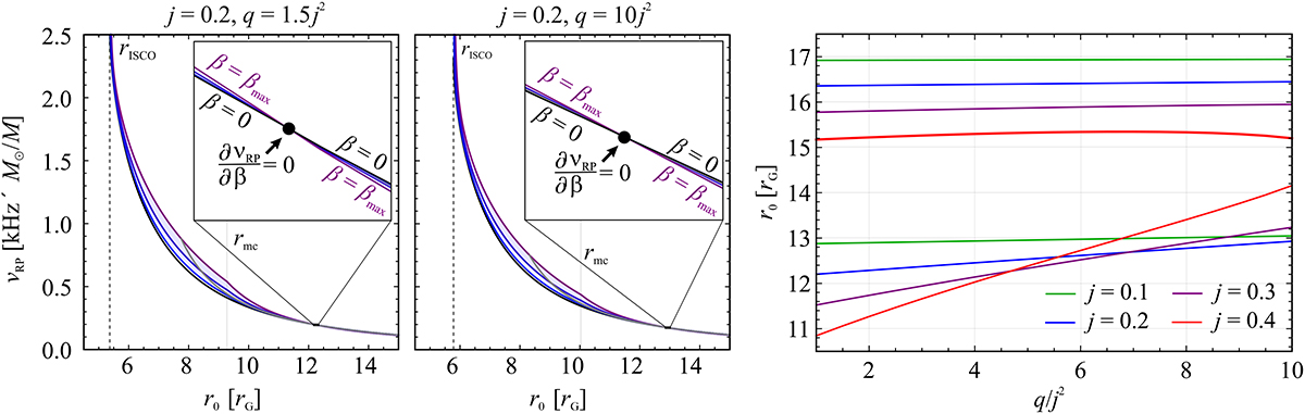
Behaviour of the radial precession frequency. Left: Radial precession frequencies calculated for different β and NSs with j = 0.2 and two particular values of q/j2: q/j2 = 1.5 (extreme NS compactness) and q/j2 = 10 (high NS oblateness). Right: Radial coordinates corresponding to the vanishing correction to the radial precession oscillation mode frequency, i.e. radii where .
Current usage metrics show cumulative count of Article Views (full-text article views including HTML views, PDF and ePub downloads, according to the available data) and Abstracts Views on Vision4Press platform.
Data correspond to usage on the plateform after 2015. The current usage metrics is available 48-96 hours after online publication and is updated daily on week days.
Initial download of the metrics may take a while.